



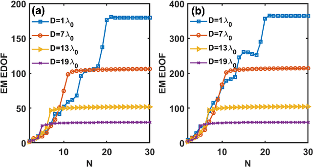
Effective degree of freedom (EDOF) of a multiple-input-multiple-output (MIMO) system represents its equivalent number of independent single-input-single-output (SISO) systems, which directly characterizes the communication performance. Traditional EDOF only considers single polarization, where the full polarized components degrade into two independent transverse components under the far-field approximation. However, the traditional model is not applicable to complex scenarios especially for the near-field region. Based on an electromagnetic (EM) channel model built from the dyadic Green's function, we first calculate the EM EDOF to estimate the performance of an arbitrary MIMO system with full polarizations in free space. Then, we clarify the relations between the limit of EDOF and the optimal number of sources/receivers. Finally, potential benefits of near-field MIMO communications are demonstrated with the EM EDOF, in which the contribution of the longitudinally polarized source is taken into account. This work establishes a fundamental EM framework for MIMO wireless communications.