



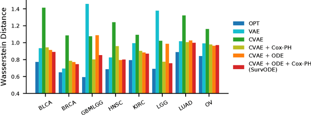
With the increasingly available large-scale cancer genomics datasets, machine learning approaches have played an important role in revealing novel insights into cancer development. Existing methods have shown encouraging performance in identifying genes that are predictive for cancer survival, but are still limited in modeling the distribution over genes. Here, we proposed a novel method that can simulate the gene expression distribution at any given time point, including those that are out of the range of the observed time points. In order to model the irregular time series where each patient is one observation, we integrated a neural ordinary differential equation (neural ODE) with cox regression into our framework. We evaluated our method on eight cancer types on TCGA and observed a substantial improvement over existing approaches. Our visualization results and further analysis indicate how our method can be used to simulate expression at the early cancer stage, offering the possibility for early cancer identification.