



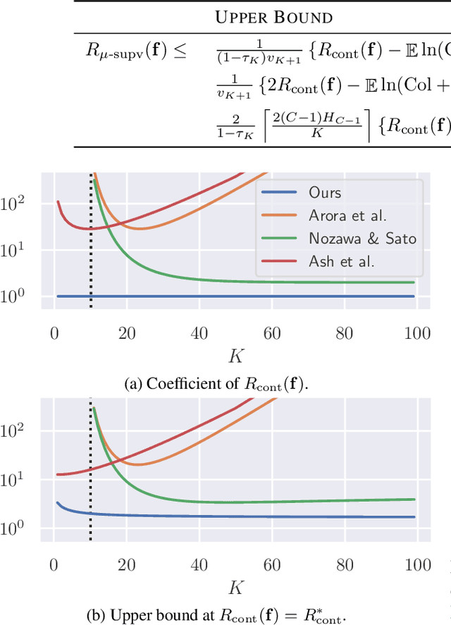
Contrastive unsupervised representation learning (CURL) encourages data representation to make semantically similar pairs closer than randomly drawn negative samples, which has been successful in various domains such as vision, language, and graphs. Although recent theoretical studies have attempted to explain its success by upper bounds of a downstream classification loss by the contrastive loss, they are still not sharp enough to explain an experimental fact: larger negative samples improve the classification performance. This study establishes a downstream classification loss bound with a tight intercept in the negative sample size. By regarding the contrastive loss as a downstream loss estimator, our theory not only improves the existing learning bounds substantially but also explains why downstream classification empirically improves with larger negative samples -- because the estimation variance of the downstream loss decays with larger negative samples. We verify that our theory is consistent with experiments on synthetic, vision, and language datasets.