



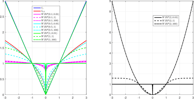
Over the past decades, many individual nonconvex methods have been proposed to achieve better sparse recovery performance in various scenarios. However, how to construct a valid nonconvex regularization function remains open in practice. In this paper, we fill in this gap by presenting a unified framework for constructing the nonconvex regularization based on the probability density function. Meanwhile, a new nonconvex sparse recovery method constructed via the Weibull distribution is studied.