

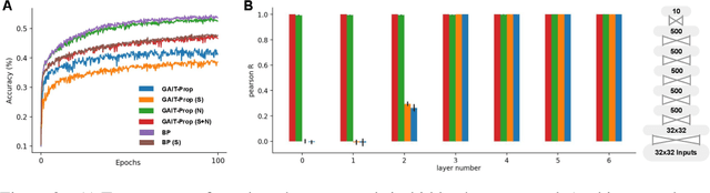
Backpropagation of error (BP) is a widely used and highly successful learning algorithm. However, its reliance on non-local information in propagating error gradients makes it seem an unlikely candidate for learning in the brain. In the last decade, a number of investigations have been carried out focused upon determining whether alternative more biologically plausible computations can be used to approximate BP. This work builds on such a local learning algorithm - Gradient Adjusted Incremental Target Propagation (GAIT-prop) - which has recently been shown to approximate BP in a manner which appears biologically plausible. This method constructs local, layer-wise weight update targets in order to enable plausible credit assignment. However, in deep networks, the local weight updates computed by GAIT-prop can deviate from BP for a number of reasons. Here, we provide and test methods to overcome such sources of error. In particular, we adaptively rescale the locally-computed errors and show that this significantly increases the performance and stability of the GAIT-prop algorithm when applied to the CIFAR-10 dataset.