



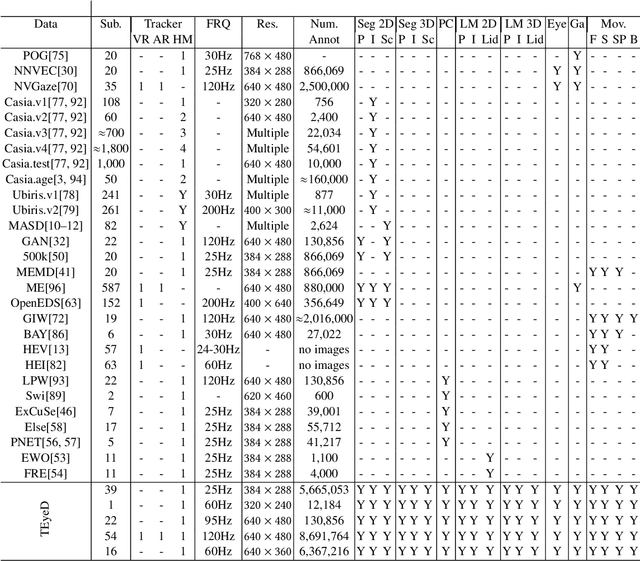
We present TEyeD, the world's largest unified public data set of eye images taken with head-mounted devices. TEyeD was acquired with seven different head-mounted eye trackers. Among them, two eye trackers were integrated into virtual reality (VR) or augmented reality (AR) devices. The images in TEyeD were obtained from various tasks, including car rides, simulator rides, outdoor sports activities, and daily indoor activities. The data set includes 2D\&3D landmarks, semantic segmentation, 3D eyeball annotation and the gaze vector and eye movement types for all images. Landmarks and semantic segmentation are provided for the pupil, iris and eyelids. Video lengths vary from a few minutes to several hours. With more than 20 million carefully annotated images, TEyeD provides a unique, coherent resource and a valuable foundation for advancing research in the field of computer vision, eye tracking and gaze estimation in modern VR and AR applications. Data and code at https://unitc-my.sharepoint.com/:f:/g/personal/iitfu01_cloud_uni-tuebingen_de/EvrNPdtigFVHtCMeFKSyLlUBepOcbX0nEkamweeZa0s9SQ?e=fWEvPp