



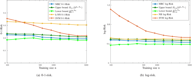
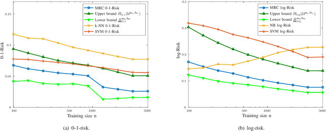
The maximum entropy principle advocates to evaluate events' probabilities using a distribution that maximizes entropy among those that satisfy certain expectations' constraints. Such principle can be generalized for arbitrary decision problems where it corresponds to minimax approaches. This paper establishes a framework for supervised classification based on the generalized maximum entropy principle that leads to minimax risk classifiers (MRCs). We develop learning techniques that determine MRCs for general entropy functions and provide performance guarantees by means of convex optimization. In addition, we describe the relationship of the presented techniques with existing classification methods, and quantify MRCs performance in comparison with the proposed bounds and conventional methods.