



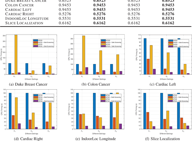
Ordered Weighted $L_{1}$ (OWL) regularized regression is a new regression analysis for high-dimensional sparse learning. Proximal gradient methods are used as standard approaches to solve OWL regression. However, it is still a burning issue to solve OWL regression due to considerable computational cost and memory usage when the feature or sample size is large. In this paper, we propose the first safe screening rule for OWL regression by exploring the order of the primal solution with the unknown order structure via an iterative strategy, which overcomes the difficulties of tackling the non-separable regularizer. It effectively avoids the updates of the parameters whose coefficients must be zero during the learning process. More importantly, the proposed screening rule can be easily applied to standard and stochastic proximal gradient methods. Moreover, we prove that the algorithms with our screening rule are guaranteed to have identical results with the original algorithms. Experimental results on a variety of datasets show that our screening rule leads to a significant computational gain without any loss of accuracy, compared to existing competitive algorithms.