



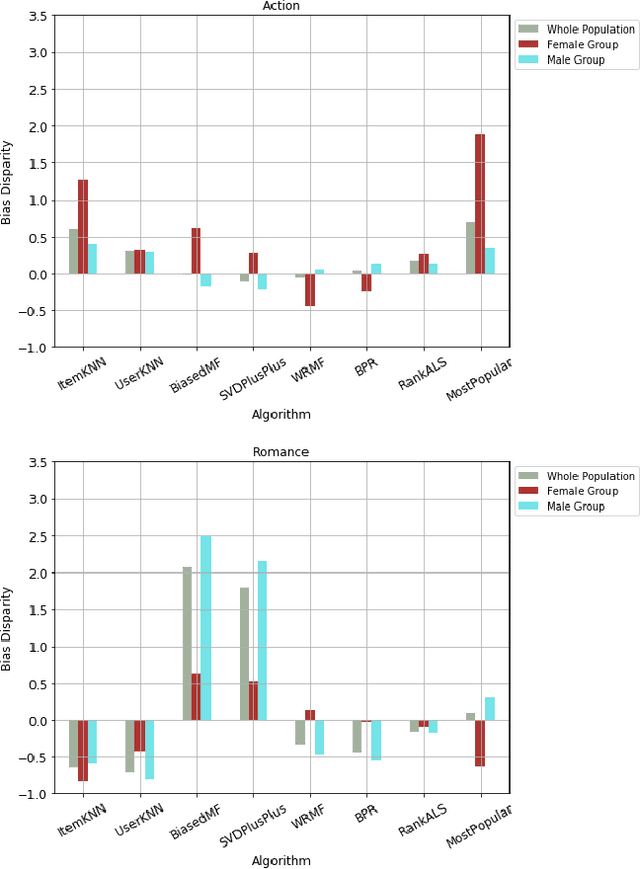
Recommender systems are personalized: we expect the results given to a particular user to reflect that user's preferences. Some researchers have studied the notion of calibration, how well recommendations match users' stated preferences, and bias disparity the extent to which mis-calibration affects different user groups. In this paper, we examine bias disparity over a range of different algorithms and for different item categories and demonstrate significant differences between model-based and memory-based algorithms.