



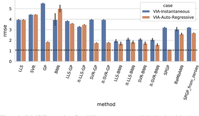
Physical modeling of robotic system behavior is the foundation for controlling many robotic mechanisms to a satisfactory degree. Mechanisms are also typically designed in a way that good model accuracy can be achieved with relatively simple models and model identification strategies. If the modeling accuracy using physically based models is not enough or too complex, model-free methods based on machine learning techniques can help. Of particular interest to us was therefore the question to what degree semi-parametric modeling techniques, meaning combinations of physical models with machine learning, increase the modeling accuracy of inverse dynamics models which are typically used in robot control. To this end, we evaluated semi-parametric Gaussian process regression and a novel model-based neural network architecture, and compared their modeling accuracy to a series of naive semi-parametric, parametric-only and non-parametric-only regression methods. The comparison has been carried out on three test scenarios, one involving a real test-bed and two involving simulated scenarios, with the most complex scenario targeting the modeling a simulated robot's inverse dynamics model. We found that in all but one case, semi-parametric Gaussian process regression yields the most accurate models, also with little tuning required for the training procedure.