


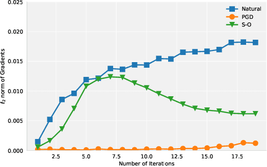
Adversarial examples are carefully perturbed in-puts for fooling machine learning models. A well-acknowledged defense method against such examples is adversarial training, where adversarial examples are injected into training data to increase robustness. In this paper, we propose a new attack to unveil an undesired property of the state-of-the-art adversarial training, that is it fails to obtain robustness against perturbations in $\ell_2$ and $\ell_\infty$ norms simultaneously. We discuss a possible solution to this issue and its limitations as well.