



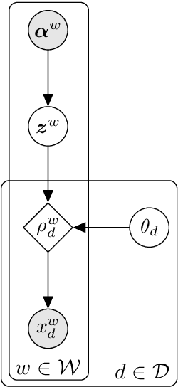
When assigning quantitative labels to a dataset, different methodologies may rely on different scales. In particular, when assigning polarities to words in a sentiment lexicon, annotators may use binary, categorical, or continuous labels. Naturally, it is of interest to unify these labels from disparate scales to both achieve maximal coverage over words and to create a single, more robust sentiment lexicon while retaining scale coherence. We introduce a generative model of sentiment lexica to combine disparate scales into a common latent representation. We realize this model with a novel multi-view variational autoencoder (VAE), called SentiVAE. We evaluate our approach via a downstream text classification task involving nine English-Language sentiment analysis datasets; our representation outperforms six individual sentiment lexica, as well as a straightforward combination thereof.