



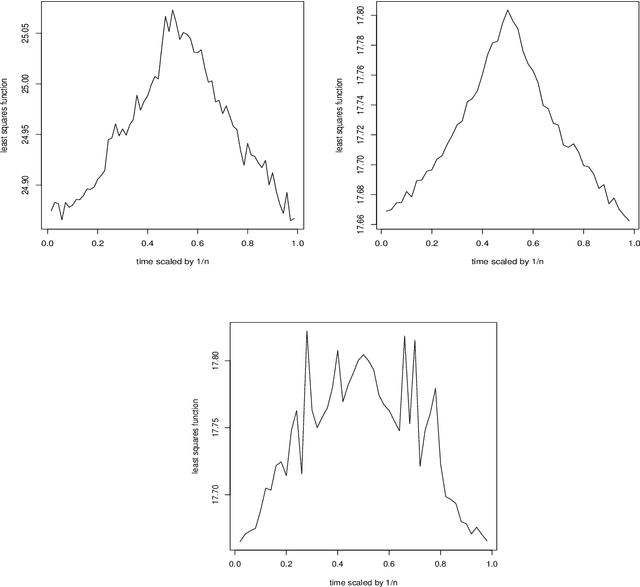
We consider the problem of estimating the location of a single change point in a dynamic stochastic block model. We propose two methods of estimating the change point, together with the model parameters. The first employs a least squares criterion function and takes into consideration the full structure of the stochastic block model and is evaluated at each point in time. Hence, as an intermediate step, it requires estimating the community structure based on a clustering algorithm at every time point. The second method comprises of the following two steps: in the first one, a least squares function is used and evaluated at each time point, but ignores the community structures and just considers a random graph generating mechanism exhibiting a change point. Once the change point is identified, in the second step, all network data before and after it are used together with a clustering algorithm to obtain the corresponding community structures and subsequently estimate the generating stochastic block model parameters. A comparison between these two methods is illustrated. Further, for both methods under their respective identifiability and certain additional regularity conditions, we establish rates of convergence and derive the asymptotic distributions of the change point estimators. The results are illustrated on synthetic data.