


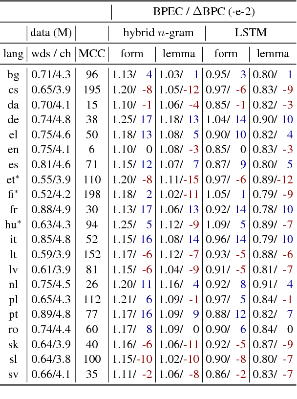
For general modeling methods applied to diverse languages, a natural question is: how well should we expect our models to work on languages with differing typological profiles? In this work, we develop an evaluation framework for fair cross-linguistic comparison of language models, using translated text so that all models are asked to predict approximately the same information. We then conduct a study on 21 languages, demonstrating that in some languages, the textual expression of the information is harder to predict with both $n$-gram and LSTM language models. We show complex inflectional morphology to be a cause of performance differences among languages.