



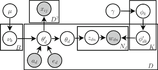
Bibliographic analysis considers the author's research areas, the citation network and the paper content among other things. In this paper, we combine these three in a topic model that produces a bibliographic model of authors, topics and documents, using a nonparametric extension of a combination of the Poisson mixed-topic link model and the author-topic model. This gives rise to the Citation Network Topic Model (CNTM). We propose a novel and efficient inference algorithm for the CNTM to explore subsets of research publications from CiteSeerX. The publication datasets are organised into three corpora, totalling to about 168k publications with about 62k authors. The queried datasets are made available online. In three publicly available corpora in addition to the queried datasets, our proposed model demonstrates an improved performance in both model fitting and document clustering, compared to several baselines. Moreover, our model allows extraction of additional useful knowledge from the corpora, such as the visualisation of the author-topics network. Additionally, we propose a simple method to incorporate supervision into topic modelling to achieve further improvement on the clustering task.