



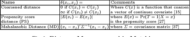
Causal inference from observational data is a subject of active research and development in statistics and computer science. Many toolkits have been developed for this purpose that depends on statistical software. However, these toolkits do not scale to large datasets. In this paper we describe a suite of techniques for expressing causal inference tasks from observational data in SQL. This suite supports the state-of-the-art methods for causal inference and run at scale within a database engine. In addition, we introduce several optimization techniques that significantly speedup causal inference, both in the online and offline setting. We evaluate the quality and performance of our techniques by experiments of real datasets.