



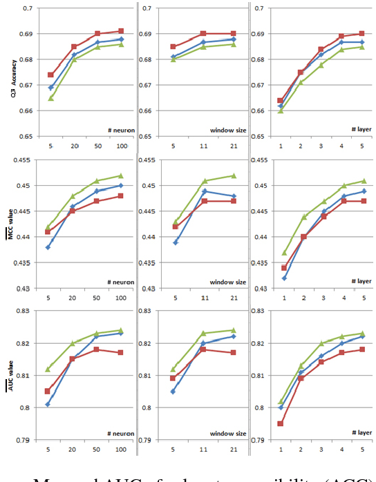
Deep Convolutional Neural Networks (DCNN) has shown excellent performance in a variety of machine learning tasks. This manuscript presents Deep Convolutional Neural Fields (DeepCNF), a combination of DCNN with Conditional Random Field (CRF), for sequence labeling with highly imbalanced label distribution. The widely-used training methods, such as maximum-likelihood and maximum labelwise accuracy, do not work well on highly imbalanced data. To handle this, we present a new training algorithm called maximum-AUC for DeepCNF. That is, we train DeepCNF by directly maximizing the empirical Area Under the ROC Curve (AUC), which is an unbiased measurement for imbalanced data. To fulfill this, we formulate AUC in a pairwise ranking framework, approximate it by a polynomial function and then apply a gradient-based procedure to optimize it. We then test our AUC-maximized DeepCNF on three very different protein sequence labeling tasks: solvent accessibility prediction, 8-state secondary structure prediction, and disorder prediction. Our experimental results confirm that maximum-AUC greatly outperforms the other two training methods on 8-state secondary structure prediction and disorder prediction since their label distributions are highly imbalanced and also have similar performance as the other two training methods on the solvent accessibility prediction problem which has three equally-distributed labels. Furthermore, our experimental results also show that our AUC-trained DeepCNF models greatly outperform existing popular predictors of these three tasks.