



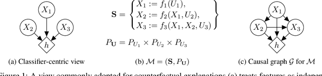
Recent work has discussed the limitations of counterfactual explanations to recommend actions for algorithmic recourse, and argued for the need of taking causal relationships between features into consideration. Unfortunately, in practice, the true underlying structural causal model is generally unknown. In this work, we first show that it is impossible to guarantee recourse without access to the true structural equations. To address this limitation, we propose two probabilistic approaches to select optimal actions that achieve recourse with high probability given limited causal knowledge (e.g., only the causal graph). The first captures uncertainty over structural equations under additive Gaussian noise, and uses Bayesian model averaging to estimate the counterfactual distribution. The second removes any assumptions on the structural equations by instead computing the average effect of recourse actions on individuals similar to the person who seeks recourse, leading to a novel subpopulation-based interventional notion of recourse. We then derive a gradient-based procedure for selecting optimal recourse actions, and empirically show that the proposed approaches lead to more reliable recommendations under imperfect causal knowledge than non-probabilistic baselines.