

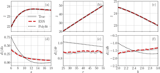
In one calculation, adjoint sensitivity analysis provides the gradient of a quantity of interest with respect to all system's parameters. Conventionally, adjoint solvers need to be implemented by differentiating computational models, which can be a cumbersome task and is code-specific. To propose an adjoint solver that is not code-specific, we develop a data-driven strategy. We demonstrate its application on the computation of gradients of long-time averages of chaotic flows. First, we deploy a parameter-aware echo state network (ESN) to accurately forecast and simulate the dynamics of a dynamical system for a range of system's parameters. Second, we derive the adjoint of the parameter-aware ESN. Finally, we combine the parameter-aware ESN with its adjoint version to compute the sensitivities to the system parameters. We showcase the method on a prototypical chaotic system. Because adjoint sensitivities in chaotic regimes diverge for long integration times, we analyse the application of ensemble adjoint method to the ESN. We find that the adjoint sensitivities obtained from the ESN match closely with the original system. This work opens possibilities for sensitivity analysis without code-specific adjoint solvers.