



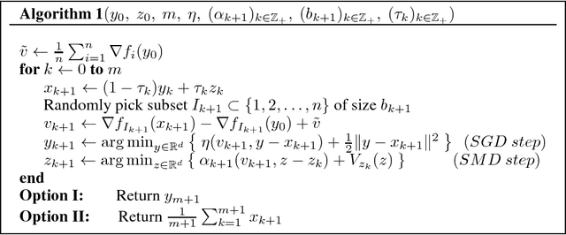
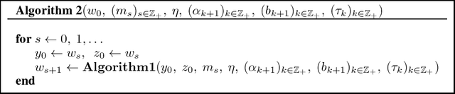
We propose an optimization method for minimizing the finite sums of smooth convex functions. Our method incorporates an accelerated gradient descent (AGD) and a stochastic variance reduction gradient (SVRG) in a mini-batch setting. Unlike SVRG, our method can be directly applied to non-strongly and strongly convex problems. We show that our method achieves a lower overall complexity than the recently proposed methods that supports non-strongly convex problems. Moreover, this method has a fast rate of convergence for strongly convex problems. Our experiments show the effectiveness of our method.