



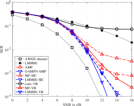
Optimal data detection in massive multiple-input multiple-output (MIMO) systems requires prohibitive computational complexity. A variety of detection algorithms have been proposed in the literature, offering different trade-offs between complexity and detection performance. In this paper, we build upon variational Bayes (VB) inference to design low-complexity multiuser detection algorithms for massive MIMO systems. We first examine the massive MIMO detection problem with perfect channel state information at the receiver (CSIR) and show that a conventional VB method with known noise variance yields poor detection performance. To address this limitation, we devise two new VB algorithms that use the noise variance and covariance matrix postulated by the algorithms themselves. We further develop the VB framework for massive MIMO detection with imperfect CSIR. Simulation results show that the proposed VB methods achieve significantly lower detection errors compared with existing schemes for a wide range of channel models.