



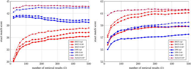
Text retrieval using learned dense representations has recently emerged as a promising alternative to "traditional" text retrieval using sparse bag-of-words representations. One recent work that has garnered much attention is the dense passage retriever (DPR) technique proposed by Karpukhin et al. (2020) for end-to-end open-domain question answering. We present a replication study of this work, starting with model checkpoints provided by the authors, but otherwise from an independent implementation in our group's Pyserini IR toolkit and PyGaggle neural text ranking library. Although our experimental results largely verify the claims of the original paper, we arrived at two important additional findings that contribute to a better understanding of DPR: First, it appears that the original authors under-report the effectiveness of the BM25 baseline and hence also dense--sparse hybrid retrieval results. Second, by incorporating evidence from the retriever and an improved answer span scoring technique, we are able to improve end-to-end question answering effectiveness using exactly the same models as in the original work.