



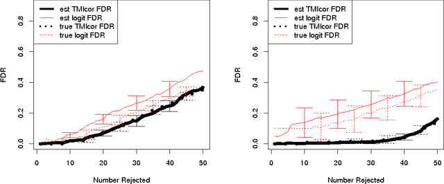
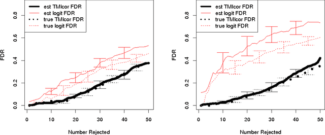
To date, testing interactions in high dimensions has been a challenging task. Existing methods often have issues with sensitivity to modeling assumptions and heavily asymptotic nominal p-values. To help alleviate these issues, we propose a permutation-based method for testing marginal interactions with a binary response. Our method searches for pairwise correlations which differ between classes. In this manuscript, we compare our method on real and simulated data to the standard approach of running many pairwise logistic models. On simulated data our method finds more significant interactions at a lower false discovery rate (especially in the presence of main effects). On real genomic data, although there is no gold standard, our method finds apparent signal and tells a believable story, while logistic regression does not. We also give asymptotic consistency results under not too restrictive assumptions.