



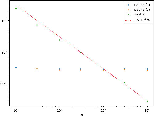
We establish a disintegrated PAC-Bayesian bound, for classifiers that are trained via continuous-time (non-stochastic) gradient descent. Contrarily to what is standard in the PAC-Bayesian setting, our result applies to a training algorithm that is deterministic, conditioned on a random initialisation, without requiring any $\textit{de-randomisation}$ step. We provide a broad discussion of the main features of the bound that we propose, and we study analytically and empirically its behaviour on linear models, finding promising results.