



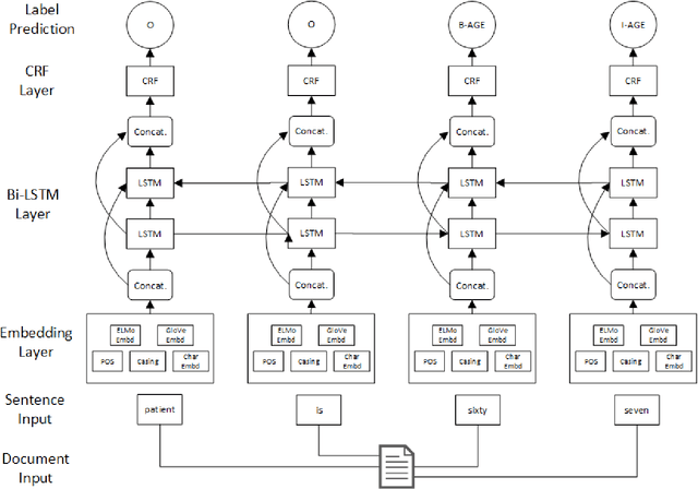
De-identification is the process of removing 18 protected health information (PHI) from clinical notes in order for the text to be considered not individually identifiable. Recent advances in natural language processing (NLP) has allowed for the use of deep learning techniques for the task of de-identification. In this paper, we present a deep learning architecture that builds on the latest NLP advances by incorporating deep contextualized word embeddings and variational drop out Bi-LSTMs. We test this architecture on two gold standard datasets and show that the architecture achieves state-of-the-art performance on both data sets while also converging faster than other systems without the use of dictionaries or other knowledge sources.