


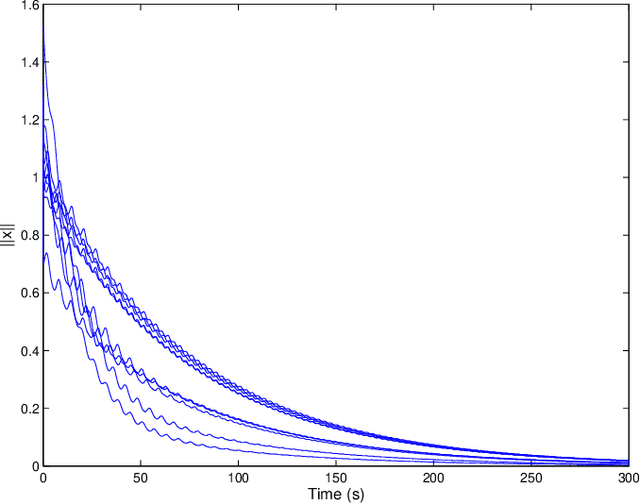
Nowadays, data are richly accessible to accumulate, and the increasingly powerful capability with computing offers reasonable ease of handling big data. This remarkable scenario leads to a new way for solving some control problems which was previously hard to analyze and solve. In this paper, a new type of control methods, namely control with patterns (CWP), is proposed to handle data sets corresponding to nonlinear dynamical systems subject to a discrete control constraint set. For data sets of this kind, a new definition, namely exponential attraction on data sets, is proposed to describe nonlinear dynamical systems under consideration. Based on the data sets and parameterized Lyapunov functions, the problem for exponential attraction on data sets is converted to a pattern classification one. Furthermore, the controller design is proposed accordingly, where the pattern classification function is used to decide which control element in the control set should be employed. Illustrative examples are given to show the effectiveness of the proposed CWP.