Abstract:This study explores the classification error of Mixture Discriminant Analysis (MDA) in scenarios where the number of mixture components exceeds those present in the actual data distribution, a condition known as overspecification. We use a two-component Gaussian mixture model within each class to fit data generated from a single Gaussian, analyzing both the algorithmic convergence of the Expectation-Maximization (EM) algorithm and the statistical classification error. We demonstrate that, with suitable initialization, the EM algorithm converges exponentially fast to the Bayes risk at the population level. Further, we extend our results to finite samples, showing that the classification error converges to Bayes risk with a rate $n^{-1/2}$ under mild conditions on the initial parameter estimates and sample size. This work provides a rigorous theoretical framework for understanding the performance of overspecified MDA, which is often used empirically in complex data settings, such as image and text classification. To validate our theory, we conduct experiments on remote sensing datasets.
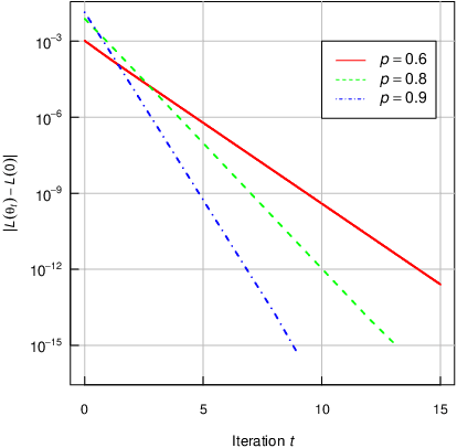
Abstract:We investigate the convergence properties of the EM algorithm when applied to overspecified Gaussian mixture models -- that is, when the number of components in the fitted model exceeds that of the true underlying distribution. Focusing on a structured configuration where the component means are positioned at the vertices of a regular simplex and the mixture weights satisfy a non-degeneracy condition, we demonstrate that the population EM algorithm converges exponentially fast in terms of the Kullback-Leibler (KL) distance. Our analysis leverages the strong convexity of the negative log-likelihood function in a neighborhood around the optimum and utilizes the Polyak-{\L}ojasiewicz inequality to establish that an $\epsilon$-accurate approximation is achievable in $O(\log(1/\epsilon))$ iterations. Furthermore, we extend these results to a finite-sample setting by deriving explicit statistical convergence guarantees. Numerical experiments on synthetic datasets corroborate our theoretical findings, highlighting the dramatic acceleration in convergence compared to conventional sublinear rates. This work not only deepens the understanding of EM's behavior in overspecified settings but also offers practical insights into initialization strategies and model design for high-dimensional clustering and density estimation tasks.




Abstract:Classes of target functions containing a large number of approximately orthogonal elements are known to be hard to learn by the Statistical Query algorithms. Recently this classical fact re-emerged in a theory of gradient-based optimization of neural networks. In the novel framework, the hardness of a class is usually quantified by the variance of the gradient with respect to a random choice of a target function. A set of functions of the form $x\to ax \bmod p$, where $a$ is taken from ${\mathbb Z}_p$, has attracted some attention from deep learning theorists and cryptographers recently. This class can be understood as a subset of $p$-periodic functions on ${\mathbb Z}$ and is tightly connected with a class of high-frequency periodic functions on the real line. We present a mathematical analysis of limitations and challenges associated with using gradient-based learning techniques to train a high-frequency periodic function or modular multiplication from examples. We highlight that the variance of the gradient is negligibly small in both cases when either a frequency or the prime base $p$ is large. This in turn prevents such a learning algorithm from being successful.




Abstract:The discrete logarithm problem is a fundamental challenge in number theory with significant implications for cryptographic protocols. In this paper, we investigate the limitations of gradient-based methods for learning the parity bit of the discrete logarithm in finite cyclic groups of prime order. Our main result, supported by theoretical analysis and empirical verification, reveals the concentration of the gradient of the loss function around a fixed point, independent of the logarithm's base used. This concentration property leads to a restricted ability to learn the parity bit efficiently using gradient-based methods, irrespective of the complexity of the network architecture being trained. Our proof relies on Boas-Bellman inequality in inner product spaces and it involves establishing approximate orthogonality of discrete logarithm's parity bit functions through the spectral norm of certain matrices. Empirical experiments using a neural network-based approach further verify the limitations of gradient-based learning, demonstrating the decreasing success rate in predicting the parity bit as the group order increases.




Abstract:We suggest a simple Gaussian mixture model for data generation that complies with Feldman's long tail theory (2020). We demonstrate that a linear classifier cannot decrease the generalization error below a certain level in the proposed model, whereas a nonlinear classifier with a memorization capacity can. This confirms that for long-tailed distributions, rare training examples must be considered for optimal generalization to new data. Finally, we show that the performance gap between linear and nonlinear models can be lessened as the tail becomes shorter in the subpopulation frequency distribution, as confirmed by experiments on synthetic and real data.



Abstract:We choose random points in the hyperbolic disc and claim that these points are already word representations. However, it is yet to be uncovered which point corresponds to which word of the human language of interest. This correspondence can be approximately established using a pointwise mutual information between words and recent alignment techniques.




Abstract:Softmax is the de facto standard in modern neural networks for language processing when it comes to normalizing logits. However, by producing a dense probability distribution each token in the vocabulary has a nonzero chance of being selected at each generation step, leading to a variety of reported problems in text generation. $\alpha$-entmax of Peters et al. (2019, arXiv:1905.05702) solves this problem, but is considerably slower than softmax. In this paper, we propose an alternative to $\alpha$-entmax, which keeps its virtuous characteristics, but is as fast as optimized softmax and achieves on par or better performance in machine translation task.




Abstract:There is an ongoing debate in the NLP community whether modern language models contain linguistic knowledge, recovered through so-called \textit{probes}. In this paper we study whether linguistic knowledge is a necessary condition for good performance of modern language models, which we call the \textit{rediscovery hypothesis}. In the first place we show that language models that are significantly compressed but perform well on their pretraining objectives retain good scores when probed for linguistic structures. This result supports the rediscovery hypothesis and leads to the second contribution of our paper: an information-theoretic framework that relates language modeling objective with linguistic information. This framework also provides a metric to measure the impact of linguistic information on the word prediction task. We reinforce our analytical results with various experiments, both on synthetic and on real tasks.




Abstract:We show analytically that removing sigmoid transformation in the SGNS objective does not harm the quality of word vectors significantly and at the same time is related to factorizing a binarized PMI matrix which, in turn, can be treated as an adjacency matrix of a certain graph. Empirically, such graph is a complex network, i.e. it has strong clustering and scale-free degree distribution, and is tightly connected with hyperbolic spaces. In short, we show the connection between static word embeddings and hyperbolic spaces through the binarized PMI matrix using analytical and empirical methods.




Abstract:We show that the skip-gram embedding of any word can be decomposed into two subvectors which roughly correspond to semantic and syntactic roles of the word.