Abstract:Being able to infer ground truth from the responses of multiple imperfect advisors is a problem of crucial importance in many decision-making applications, such as lending, trading, investment, and crowd-sourcing. In practice, however, gathering answers from a set of advisors has a cost. Therefore, finding an advisor selection strategy that retrieves a reliable answer and maximizes the overall utility is a challenging problem. To address this problem, we propose a novel strategy for optimally selecting a set of advisers in a sequential binary decision-making setting, where multiple decisions need to be made over time. Crucially, we assume no access to ground truth and no prior knowledge about the reliability of advisers. Specifically, our approach considers how to simultaneously (1) select advisors by balancing the advisors' costs and the value of making correct decisions, (2) learn the trustworthiness of advisers dynamically without prior information by asking multiple advisers, and (3) make optimal decisions without access to the ground truth, improving this over time. We evaluate our algorithm through several numerical experiments. The results show that our approach outperforms two other methods that combine state-of-the-art models.




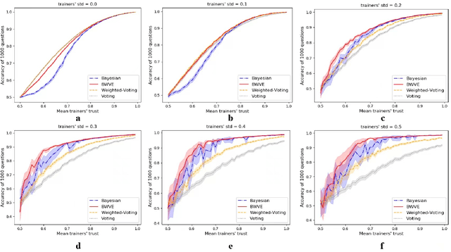
Abstract:Interactive reinforcement learning can effectively facilitate the agent training via human feedback. However, such methods often require the human teacher to know what is the correct action that the agent should take. In other words, if the human teacher is not always reliable, then it will not be consistently able to guide the agent through its training. In this paper, we propose a more effective interactive reinforcement learning system by introducing multiple trainers, namely Multi-Trainer Interactive Reinforcement Learning (MTIRL), which could aggregate the binary feedback from multiple non-perfect trainers into a more reliable reward for an agent training in a reward-sparse environment. In particular, our trainer feedback aggregation experiments show that our aggregation method has the best accuracy when compared with the majority voting, the weighted voting, and the Bayesian method. Finally, we conduct a grid-world experiment to show that the policy trained by the MTIRL with the review model is closer to the optimal policy than that without a review model.