Abstract:We derived the closed-form asymptotic optimism of linear regression models under random designs, and generalizes it to kernel ridge regression. Using scaled asymptotic optimism as a generic predictive model complexity measure, we studied the fundamental different behaviors of linear regression model, tangent kernel (NTK) regression model and three-layer fully connected neural networks (NN). Our contribution is two-fold: we provided theoretical ground for using scaled optimism as a model predictive complexity measure; and we show empirically that NN with ReLUs behaves differently from kernel models under this measure. With resampling techniques, we can also compute the optimism for regression models with real data.




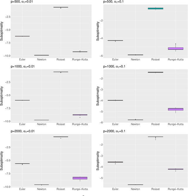
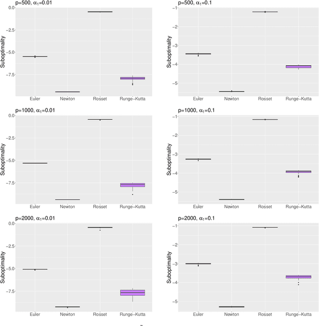
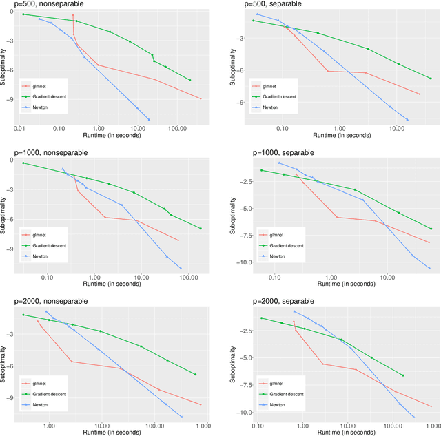
Abstract:We establish an equivalence between the $\ell_2$-regularized solution path for a convex loss function, and the solution of an ordinary differentiable equation (ODE). Importantly, this equivalence reveals that the solution path can be viewed as the flow of a hybrid of gradient descent and Newton method applying to the empirical loss, which is similar to a widely used optimization technique called trust region method. This provides an interesting algorithmic view of $\ell_2$ regularization, and is in contrast to the conventional view that the $\ell_2$ regularization solution path is similar to the gradient flow of the empirical loss.New path-following algorithms based on homotopy methods and numerical ODE solvers are proposed to numerically approximate the solution path. In particular, we consider respectively Newton method and gradient descent method as the basis algorithm for the homotopy method, and establish their approximation error rates over the solution path. Importantly, our theory suggests novel schemes to choose grid points that guarantee an arbitrarily small suboptimality for the solution path. In terms of computational cost, we prove that in order to achieve an $\epsilon$-suboptimality for the entire solution path, the number of Newton steps required for the Newton method is $\mathcal O(\epsilon^{-1/2})$, while the number of gradient steps required for the gradient descent method is $\mathcal O\left(\epsilon^{-1} \ln(\epsilon^{-1})\right)$. Finally, we use $\ell_2$-regularized logistic regression as an illustrating example to demonstrate the effectiveness of the proposed path-following algorithms.