



Abstract:This study describes a procedure for applying causal modeling to detect and mitigate algorithmic bias in a multiclass classification problem. The dataset was derived from the FairFace dataset, supplemented with emotional labels generated by the DeepFace pre-trained model. A custom Convolutional Neural Network (CNN) was developed, consisting of four convolutional blocks, followed by fully connected layers and dropout layers to mitigate overfitting. Gender bias was identified in the CNN model's classifications: Females were more likely to be classified as "happy" or "sad," while males were more likely to be classified as "neutral." To address this, the one-vs-all (OvA) technique was applied. A causal model was constructed for each emotion class to adjust the CNN model's predicted class probabilities. The adjusted probabilities for the various classes were then aggregated by selecting the class with the highest probability. The resulting debiased classifications demonstrated enhanced gender fairness across all classes, with negligible impact--or even a slight improvement--on overall accuracy. This study highlights that algorithmic fairness and accuracy are not necessarily trade-offs. All data and code for this study are publicly available for download.




Abstract:This paper proposes the use of causal modeling to detect and mitigate algorithmic bias that is nonlinear in the protected attribute. We provide a general overview of our approach. We use the German Credit data set, which is available for download from the UC Irvine Machine Learning Repository, to develop (1) a prediction model, which is treated as a black box, and (2) a causal model for bias mitigation. In this paper, we focus on age bias and the problem of binary classification. We show that the probability of getting correctly classified as "low risk" is lowest among young people. The probability increases with age nonlinearly. To incorporate the nonlinearity into the causal model, we introduce a higher order polynomial term. Based on the fitted causal model, the de-biased probability estimates are computed, showing improved fairness with little impact on overall classification accuracy. Causal modeling is intuitive and, hence, its use can enhance explicability and promotes trust among different stakeholders of AI.




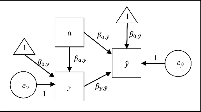
Abstract:This paper proposes the use of causal modeling to detect and mitigate algorithmic bias. We provide a brief description of causal modeling and a general overview of our approach. We then use the Adult dataset, which is available for download from the UC Irvine Machine Learning Repository, to develop (1) a prediction model, which is treated as a black box, and (2) a causal model for bias mitigation. In this paper, we focus on gender bias and the problem of binary classification. We show that gender bias in the prediction model is statistically significant at the 0.05 level. We demonstrate the effectiveness of the causal model in mitigating gender bias by cross-validation. Furthermore, we show that the overall classification accuracy is improved slightly. Our novel approach is intuitive, easy-to-use, and can be implemented using existing statistical software tools such as "lavaan" in R. Hence, it enhances explainability and promotes trust.