



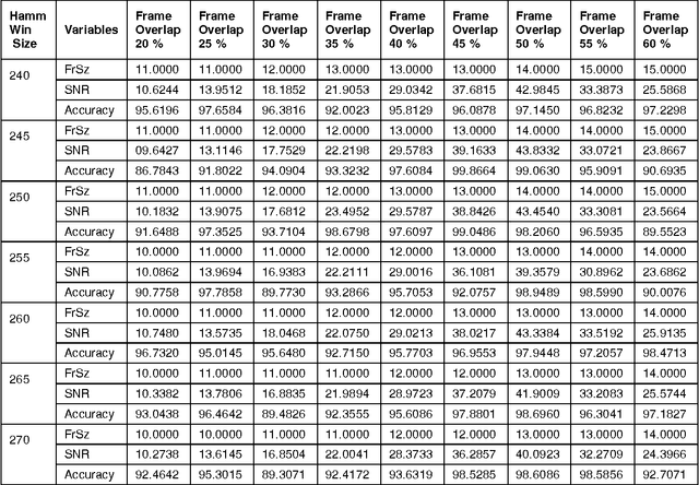
Abstract:From the existing research it has been observed that many techniques and methodologies are available for performing every step of Automatic Speech Recognition (ASR) system, but the performance (Minimization of Word Error Recognition-WER and Maximization of Word Accuracy Rate- WAR) of the methodology is not dependent on the only technique applied in that method. The research work indicates that, performance mainly depends on the category of the noise, the level of the noise and the variable size of the window, frame, frame overlap etc is considered in the existing methods. The main aim of the work presented in this paper is to use variable size of parameters like window size, frame size and frame overlap percentage to observe the performance of algorithms for various categories of noise with different levels and also train the system for all size of parameters and category of real world noisy environment to improve the performance of the speech recognition system. This paper presents the results of Signal-to-Noise Ratio (SNR) and Accuracy test by applying variable size of parameters. It is observed that, it is really very hard to evaluate test results and decide parameter size for ASR performance improvement for its resultant optimization. Hence, this study further suggests the feasible and optimum parameter size using Fuzzy Inference System (FIS) for enhancing resultant accuracy in adverse real world noisy environmental conditions. This work will be helpful to give discriminative training of ubiquitous ASR system for better Human Computer Interaction (HCI).




Abstract:Achieving and maintaining the performance of ubiquitous (Automatic Speech Recognition) ASR system is a real challenge. The main objective of this work is to develop a method that will improve and show the consistency in performance of ubiquitous ASR system for real world noisy environment. An adaptive methodology has been developed to achieve an objective with the help of implementing followings, -Cleaning speech signal as much as possible while preserving originality / intangibility using various modified filters and enhancement techniques. -Extracting features from speech signals using various sizes of parameter. -Train the system for ubiquitous environment using multi-environmental adaptation training methods. -Optimize the word recognition rate with appropriate variable size of parameters using fuzzy technique. The consistency in performance is tested using standard noise databases as well as in real world environment. A good improvement is noticed. This work will be helpful to give discriminative training of ubiquitous ASR system for better Human Computer Interaction (HCI) using Speech User Interface (SUI).