



Abstract:We present a novel Fourier camera, an in-hardware optical compression of high-speed frames employing pixel-level sign-coded exposure where pixel intensities temporally modulated as positive and negative exposure are combined to yield Hadamard coefficients. The orthogonality of Walsh functions ensures that the noise is not amplified during high-speed frame reconstruction, making it a much more attractive option for coded exposure systems aimed at very high frame rate operation. Frame reconstruction is carried out by a single-pass demosaicking of the spatially multiplexed Walsh functions in a lattice arrangement, significantly reducing the computational complexity. The simulation prototype confirms the improved robustness to noise compared to the binary-coded exposure patterns, such as one-hot encoding and pseudo-random encoding. Our hardware prototype demonstrated the reconstruction of 4kHz frames of a moving scene lit by ambient light only.




Abstract:Event cameras are an exciting, new sensor modality enabling high-speed imaging with extremely low-latency and wide dynamic range. Unfortunately, most machine learning architectures are not designed to directly handle sparse data, like that generated from event cameras. Many state-of-the-art algorithms for event cameras rely on interpolated event representations - obscuring crucial timing information, increasing the data volume, and limiting overall network performance. This paper details an event representation called Time-Ordered Recent Event (TORE) volumes. TORE volumes are designed to compactly store raw spike timing information with minimal information loss. This bio-inspired design is memory efficient, computationally fast, avoids time-blocking (i.e. fixed and predefined frame rates), and contains "local memory" from past data. The design is evaluated on a wide range of challenging tasks (e.g. event denoising, image reconstruction, classification, and human pose estimation) and is shown to dramatically improve state-of-the-art performance. TORE volumes are an easy-to-implement replacement for any algorithm currently utilizing event representations.




Abstract:Derived from a general definition of texture in a local neighborhood, local directional pattern (LDP) encodes the directional information in the small local 3x3 neighborhood of a pixel, which may fail to extract detailed information especially during changes in the input image due to illumination variations. Therefore, in this paper we introduce a novel feature extraction technique that calculates the nth order direction variation patterns, named high order local directional pattern (HOLDP). The proposed HOLDP can capture more detailed discriminative information than the conventional LDP. Unlike the LDP operator, our proposed technique extracts nth order local information by encoding various distinctive spatial relationships from each neighborhood layer of a pixel in the pyramidal multi-structure way. Then we concatenate the feature vector of each neighborhood layer to form the final HOLDP feature vector. The performance evaluation of the proposed HOLDP algorithm is conducted on several publicly available face databases and observed the superiority of HOLDP under extreme illumination conditions.




Abstract:This paper presents a novel method for labeling real-world neuromorphic camera sensor data by calculating the likelihood of generating an event at each pixel within a short time window, which we refer to as "event probability mask" or EPM. Its applications include (i) objective benchmarking of event denoising performance, (ii) training convolutional neural networks for noise removal called "event denoising convolutional neural network" (EDnCNN), and (iii) estimating internal neuromorphic camera parameters. We provide the first dataset (DVSNOISE20) of real-world labeled neuromorphic camera events for noise removal.




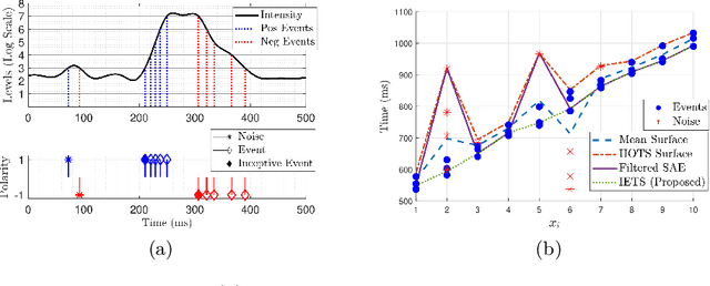
Abstract:This paper presents a novel fusion of low-level approaches for dimensionality reduction into an effective approach for high-level objects in neuromorphic camera data called Inceptive Event Time-Surfaces (IETS). IETSs overcome several limitations of conventional time-surfaces by increasing robustness to noise, promoting spatial consistency, and improving the temporal localization of (moving) edges. Combining IETS with transfer learning improves state-of-the-art performance on the challenging problem of object classification utilizing event camera data.