



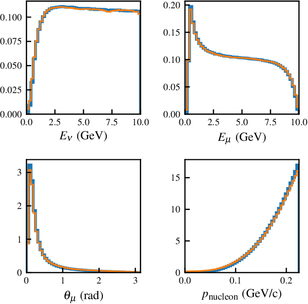
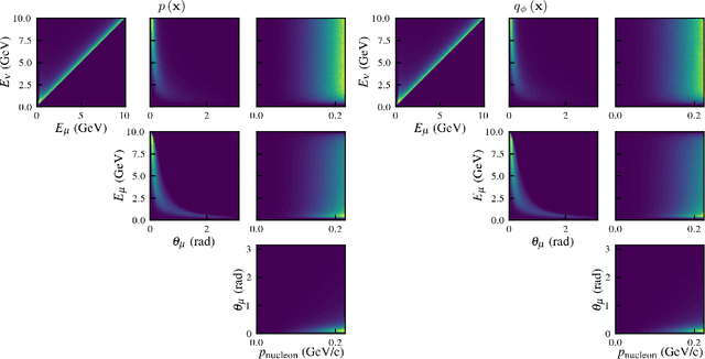
Abstract:The generation of accurate neutrino-nucleus cross-section models needed for neutrino oscillation experiments require simultaneously the description of many degrees of freedom and precise calculations to model nuclear responses. The detailed calculation of complete models makes the Monte Carlo generators slow and impractical. We present Exhaustive Neural Importance Sampling (ENIS), a method based on normalizing flows to find a suitable proposal density for rejection sampling automatically and efficiently, and discuss how this technique solves common issues of the rejection algorithm.




Abstract:For many applications, such as computing the expected value of different magnitudes, sampling from a known probability density function, the target density, is crucial but challenging through the inverse transform. In these cases, rejection and importance sampling require suitable proposal densities, which can be evaluated and sampled from efficiently. We will present a method based on normalizing flows, proposing a solution for the common problem of exploding reverse Kullback-Leibler divergence due to the target density having values of 0 in regions of the flow transformation. The performance of the method will be demonstrated using a multi-mode complex density function.




Abstract:We discuss the application of Neural Spline Flows, a neural density estimation algorithm, to the likelihood-free inference problem of the measurement of neutrino oscillation parameters in Long Base Line neutrino experiments. A method adapted to physics parameter inference is developed and applied to the case of the disappearance muon neutrino analysis at the T2K experiment.