



Abstract:This study explores the limitations of image-based structural health monitoring (SHM) techniques in detecting structural damage. Leveraging machine learning and computer vision, image-based SHM offers a scalable and efficient alternative to manual inspections. However, its reliability is impacted by challenges such as false positives, false negatives, and environmental variability, particularly in low base rate damage scenarios. The Base Rate Bias plays a significant role, as low probabilities of actual damage often lead to misinterpretation of positive results. This study uses both Bayesian analysis and a frequentist approach to evaluate the precision of damage detection systems, revealing that even highly accurate models can yield misleading results when the occurrence of damage is rare. Strategies for mitigating these limitations are discussed, including hybrid systems that combine multiple data sources, human-in-the-loop approaches for critical assessments, and improving the quality of training data. These findings provide essential insights into the practical applicability of image-based SHM techniques, highlighting both their potential and their limitations for real-world infrastructure monitoring.




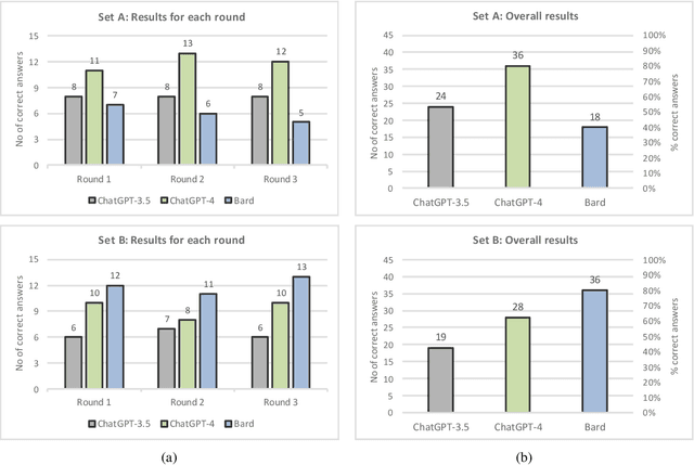
Abstract:A comparison between three chatbots which are based on large language models, namely ChatGPT-3.5, ChatGPT-4 and Google Bard is presented, focusing on their ability to give correct answers to mathematics and logic problems. In particular, we check their ability to Understand the problem at hand; Apply appropriate algorithms or methods for its solution; and Generate a coherent response and a correct answer. We use 30 questions that are clear, without any ambiguities, fully described with plain text only, and have a unique, well defined correct answer. The questions are divided into two sets of 15 each. The questions of Set A are 15 "Original" problems that cannot be found online, while Set B contains 15 "Published" problems that one can find online, usually with their solution. Each question is posed three times to each chatbot. The answers are recorded and discussed, highlighting their strengths and weaknesses. It has been found that for straightforward arithmetic, algebraic expressions, or basic logic puzzles, chatbots may provide accurate solutions, although not in every attempt. However, for more complex mathematical problems or advanced logic tasks, their answers, although written in a usually "convincing" way, may not be reliable. Consistency is also an issue, as many times a chatbot will provide conflicting answers when given the same question more than once. A comparative quantitative evaluation of the three chatbots is made through scoring their final answers based on correctness. It was found that ChatGPT-4 outperforms ChatGPT-3.5 in both sets of questions. Bard comes third in the original questions of Set A, behind the other two chatbots, while it has the best performance (first place) in the published questions of Set B. This is probably because Bard has direct access to the internet, in contrast to ChatGPT chatbots which do not have any communication with the outside world.




Abstract:The effects on structures of the earthquake with magnitude 7.8 on the Richter scale (moment magnitude scale) which took place in Pazarcik, Kahramanmaras, Turkiye at 04:17 a.m. local time (01:17 UTC) on February 6, 2023, are investigated by processing suitable seismic records using the open-source software OpenSeismoMatlab. The earthquake had a maximum Mercalli intensity of XI (Extreme) and it was followed by a Mw 7.5 earthquake nine hours later, centered 95 km to the north-northeast from the first. Peak and cumulative seismic measures as well as elastic response spectra, constant ductility (or isoductile) response spectra, and incremental dynamic analysis curves were calculated for two representative earthquake records of the main event. Furthermore, the acceleration response spectra of a large set of records were compared to the acceleration design spectrum of the Turkish seismic code. Based on the study, it is concluded that the structures were overloaded far beyond their normal design levels. This, in combination with considerable vertical seismic components, was a contributing factor towards the collapse of many buildings in the region. Modifications of the Turkish seismic code are required so that higher spectral acceleration values can be prescribed, especially in earthquake-prone regions.