the Alzheimer's Disease Neuroimaging Initiatives, the MASTERPLAN Study Group, the OPTIMISTIC Consortium
Abstract:Bias-variance decompositions are widely used to understand the generalization performance of machine learning models. While the squared error loss permits a straightforward decomposition, other loss functions - such as zero-one loss or $L_1$ loss - either fail to sum bias and variance to the expected loss or rely on definitions that lack the essential properties of meaningful bias and variance. Recent research has shown that clean decompositions can be achieved for the broader class of Bregman divergences, with the cross-entropy loss as a special case. However, the necessary and sufficient conditions for these decompositions remain an open question. In this paper, we address this question by studying continuous, nonnegative loss functions that satisfy the identity of indiscernibles under mild regularity conditions. We prove that so-called $g$-Bregman divergences are the only such loss functions that have a clean bias-variance decomposition. A $g$-Bregman divergence can be transformed into a standard Bregman divergence through an invertible change of variables. This makes the squared Mahalanobis distance, up to such a variable transformation, the only symmetric loss function with a clean bias-variance decomposition. We also examine the impact of relaxing the restrictions on the loss functions and how this affects our results.


Abstract:Autoencoders are frequently used for anomaly detection, both in the unsupervised and semi-supervised settings. They rely on the assumption that when trained using the reconstruction loss, they will be able to reconstruct normal data more accurately than anomalous data. Some recent works have posited that this assumption may not always hold, but little has been done to study the validity of the assumption in theory. In this work we show that this assumption indeed does not hold, and illustrate that anomalies, lying far away from normal data, can be perfectly reconstructed in practice. We revisit the theory of failure of linear autoencoders for anomaly detection by showing how they can perfectly reconstruct out of bounds, or extrapolate undesirably, and note how this can be dangerous in safety critical applications. We connect this to non-linear autoencoders through experiments on both tabular data and real-world image data, the two primary application areas of autoencoders for anomaly detection.




Abstract:This paper explores the use of XGBoost for composite quantile regression. XGBoost is a highly popular model renowned for its flexibility, efficiency, and capability to deal with missing data. The optimization uses a second order approximation of the loss function, complicating the use of loss functions with a zero or vanishing second derivative. Quantile regression -- a popular approach to obtain conditional quantiles when point estimates alone are insufficient -- unfortunately uses such a loss function, the pinball loss. Existing workarounds are typically inefficient and can result in severe quantile crossings. In this paper, we present a smooth approximation of the pinball loss, the arctan pinball loss, that is tailored to the needs of XGBoost. Specifically, contrary to other smooth approximations, the arctan pinball loss has a relatively large second derivative, which makes it more suitable to use in the second order approximation. Using this loss function enables the simultaneous prediction of multiple quantiles, which is more efficient and results in far fewer quantile crossings.




Abstract:In this paper we present novel methodology for automatic anomaly and switch event filtering to improve load estimation in power grid systems. By leveraging unsupervised methods with supervised optimization, our approach prioritizes interpretability while ensuring robust and generalizable performance on unseen data. Through experimentation, a combination of binary segmentation for change point detection and statistical process control for anomaly detection emerges as the most effective strategy, specifically when ensembled in a novel sequential manner. Results indicate the clear wasted potential when filtering is not applied. The automatic load estimation is also fairly accurate, with approximately 90% of estimates falling within a 10% error margin, with only a single significant failure in both the minimum and maximum load estimates across 60 measurements in the test set. Our methodology's interpretability makes it particularly suitable for critical infrastructure planning, thereby enhancing decision-making processes.




Abstract:In personalized recommender systems, embeddings are often used to encode customer actions and items, and retrieval is then performed in the embedding space using approximate nearest neighbor search. However, this approach can lead to two challenges: 1) user embeddings can restrict the diversity of interests captured and 2) the need to keep them up-to-date requires an expensive, real-time infrastructure. In this paper, we propose a method that overcomes these challenges in a practical, industrial setting. The method dynamically updates customer profiles and composes a feed every two minutes, employing precomputed embeddings and their respective similarities. We tested and deployed this method to personalise promotional items at Bol, one of the largest e-commerce platforms of the Netherlands and Belgium. The method enhanced customer engagement and experience, leading to a significant 4.9% uplift in conversions.
Abstract:Ensuring electricity grid reliability becomes increasingly challenging with the shift towards renewable energy and declining conventional capacities. Distribution System Operators (DSOs) aim to achieve grid reliability by verifying the n-1 principle, ensuring continuous operation in case of component failure. Electricity networks' complex graph-based data holds crucial information for n-1 assessment: graph structure and data about stations/cables. Unlike traditional machine learning methods, Graph Neural Networks (GNNs) directly handle graph-structured data. This paper proposes using Graph Isomorphic Networks (GINs) for n-1 assessments in medium voltage grids. The GIN framework is designed to generalise to unseen grids and utilise graph structure and data about stations/cables. The proposed GIN approach demonstrates faster and more reliable grid assessments than a traditional mathematical optimisation approach, reducing prediction times by approximately a factor of 1000. The findings offer a promising approach to address computational challenges and enhance the reliability and efficiency of energy grid assessments.




Abstract:This paper introduces a first implementation of a novel likelihood-ratio-based approach for constructing confidence intervals for neural networks. Our method, called DeepLR, offers several qualitative advantages: most notably, the ability to construct asymmetric intervals that expand in regions with a limited amount of data, and the inherent incorporation of factors such as the amount of training time, network architecture, and regularization techniques. While acknowledging that the current implementation of the method is prohibitively expensive for many deep-learning applications, the high cost may already be justified in specific fields like medical predictions or astrophysics, where a reliable uncertainty estimate for a single prediction is essential. This work highlights the significant potential of a likelihood-ratio-based uncertainty estimate and establishes a promising avenue for future research.




Abstract:In this study we evaluate 32 unsupervised anomaly detection algorithms on 52 real-world multivariate tabular datasets, performing the largest comparison of unsupervised anomaly detection algorithms to date. On this collection of datasets, the $k$-thNN (distance to the $k$-nearest neighbor) algorithm significantly outperforms the most other algorithms. Visualizing and then clustering the relative performance of the considered algorithms on all datasets, we identify two clear clusters: one with ``local'' datasets, and another with ``global'' datasets. ``Local'' anomalies occupy a region with low density when compared to nearby samples, while ``global'' occupy an overall low density region in the feature space. On the local datasets the $k$NN ($k$-nearest neighbor) algorithm comes out on top. On the global datasets, the EIF (extended isolation forest) algorithm performs the best. Also taking into consideration the algorithms' computational complexity, a toolbox with these three unsupervised anomaly detection algorithms suffices for finding anomalies in this representative collection of multivariate datasets. By providing access to code and datasets, our study can be easily reproduced and extended with more algorithms and/or datasets.
Abstract:This paper focusses on the optimal implementation of a Mean Variance Estimation network (MVE network) (Nix and Weigend, 1994). This type of network is often used as a building block for uncertainty estimation methods in a regression setting, for instance Concrete dropout (Gal et al., 2017) and Deep Ensembles (Lakshminarayanan et al., 2017). Specifically, an MVE network assumes that the data is produced from a normal distribution with a mean function and variance function. The MVE network outputs a mean and variance estimate and optimizes the network parameters by minimizing the negative loglikelihood. In this paper, we discuss two points: firstly, the convergence difficulties reported in recent work can be relatively easily prevented by following the recommendation from the original authors that a warm-up period should be used. During this period, only the mean is optimized assuming a fixed variance. This recommendation is often not used in practice. We experimentally demonstrate how essential this step is. We also examine if keeping the mean estimate fixed after the warm-up leads to different results than estimating both the mean and the variance simultaneously after the warm-up. We do not observe a substantial difference. Secondly, we propose a novel improvement of the MVE network: separate regularization of the mean and the variance estimate. We demonstrate, both on toy examples and on a number of benchmark UCI regression data sets, that following the original recommendations and the novel separate regularization can lead to significant improvements.




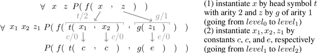
Abstract:The appearance of strong CDCL-based propositional (SAT) solvers has greatly advanced several areas of automated reasoning (AR). One of the directions in AR is thus to apply SAT solvers to expressive formalisms such as first-order logic, for which large corpora of general mathematical problems exist today. This is possible due to Herbrand's theorem, which allows reduction of first-order problems to propositional problems by instantiation. The core challenge is choosing the right instances from the typically infinite Herbrand universe. In this work, we develop the first machine learning system targeting this task, addressing its combinatorial and invariance properties. In particular, we develop a GNN2RNN architecture based on an invariant graph neural network (GNN) that learns from problems and their solutions independently of symbol names (addressing the abundance of skolems), combined with a recurrent neural network (RNN) that proposes for each clause its instantiations. The architecture is then trained on a corpus of mathematical problems and their instantiation-based proofs, and its performance is evaluated in several ways. We show that the trained system achieves high accuracy in predicting the right instances, and that it is capable of solving many problems by educated guessing when combined with a ground solver. To our knowledge, this is the first convincing use of machine learning in synthesizing relevant elements from arbitrary Herbrand universes.