



Abstract:Graph neural networks (GNNs) learn the representation of nodes in a graph by aggregating the neighborhood information in various ways. As these networks grow in depth, their receptive field grows exponentially due to the increase in neighborhood sizes, resulting in high memory costs. Graph sampling solves memory issues in GNNs by sampling a small ratio of the nodes in the graph. This way, GNNs can scale to much larger graphs. Most sampling methods focus on fixed sampling heuristics, which may not generalize to different structures or tasks. We introduce GRAPES, an adaptive graph sampling method that learns to identify sets of influential nodes for training a GNN classifier. GRAPES uses a GFlowNet to learn node sampling probabilities given the classification objectives. We evaluate GRAPES across several small- and large-scale graph benchmarks and demonstrate its effectiveness in accuracy and scalability. In contrast to existing sampling methods, GRAPES maintains high accuracy even with small sample sizes and, therefore, can scale to very large graphs. Our code is publicly available at https://github.com/dfdazac/grapes.




Abstract:Multi-label learning is an emerging extension of the multi-class classification where an image contains multiple labels. Not only acquiring a clean and fully labeled dataset in multi-label learning is extremely expensive, but also many of the actual labels are corrupted or missing due to the automated or non-expert annotation techniques. Noisy label data decrease the prediction performance drastically. In this paper, we propose a novel Gold Asymmetric Loss Correction with Single-Label Regulators (GALC-SLR) that operates robust against noisy labels. GALC-SLR estimates the noise confusion matrix using single-label samples, then constructs an asymmetric loss correction via estimated confusion matrix to avoid overfitting to the noisy labels. Empirical results show that our method outperforms the state-of-the-art original asymmetric loss multi-label classifier under all corruption levels, showing mean average precision improvement up to 28.67% on a real world dataset of MS-COCO, yielding a better generalization of the unseen data and increased prediction performance.




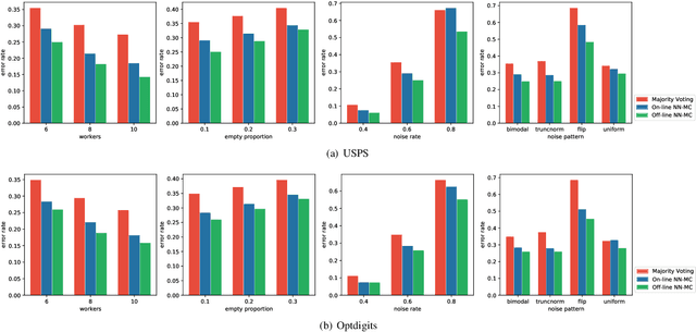
Abstract:Labeling real-world datasets is time consuming but indispensable for supervised machine learning models. A common solution is to distribute the labeling task across a large number of non-expert workers via crowd-sourcing. Due to the varying background and experience of crowd workers, the obtained labels are highly prone to errors and even detrimental to the learning models. In this paper, we advocate using hybrid intelligence, i.e., combining deep models and human experts, to design an end-to-end learning framework from noisy crowd-sourced data, especially in an on-line scenario. We first summarize the state-of-the-art solutions that address the challenges of noisy labels from non-expert crowd and learn from multiple annotators. We show how label aggregation can benefit from estimating the annotators' confusion matrices to improve the learning process. Moreover, with the help of an expert labeler as well as classifiers, we cleanse aggregated labels of highly informative samples to enhance the final classification accuracy. We demonstrate the effectiveness of our strategies on several image datasets, i.e. UCI and CIFAR-10, using SVM and deep neural networks. Our evaluation shows that our on-line label aggregation with confusion matrix estimation reduces the error rate of labels by over 30%. Furthermore, relabeling only 10% of the data using the expert's results in over 90% classification accuracy with SVM.




Abstract:Labeling data correctly is an expensive and challenging task in machine learning, especially for on-line data streams. Deep learning models especially require a large number of clean labeled data that is very difficult to acquire in real-world problems. Choosing useful data samples to label while minimizing the cost of labeling is crucial to maintain efficiency in the training process. When confronted with multiple labelers with different expertise and respective labeling costs, deciding which labeler to choose is nontrivial. In this paper, we consider a novel weak and strong labeler problem inspired by humans natural ability for labeling, in the presence of data streams with noisy labels and constrained by a limited budget. We propose an on-line active learning algorithm that consists of four steps: filtering, adding diversity, informative sample selection, and labeler selection. We aim to filter out the suspicious noisy samples and spend the budget on the diverse informative data using strong and weak labelers in a cost-effective manner. We derive a decision function that measures the information gain by combining the informativeness of individual samples and model confidence. We evaluate our proposed algorithm on the well-known image classification datasets CIFAR10 and CIFAR100 with up to 60% noise. Experiments show that by intelligently deciding which labeler to query, our algorithm maintains the same accuracy compared to the case of having only one of the labelers available while spending less of the budget.




Abstract:Robustness to label noise is a critical property for weakly-supervised classifiers trained on massive datasets. Robustness to label noise is a critical property for weakly-supervised classifiers trained on massive datasets. In this paper, we first derive analytical bound for any given noise patterns. Based on the insights, we design TrustNet that first adversely learns the pattern of noise corruption, being it both symmetric or asymmetric, from a small set of trusted data. Then, TrustNet is trained via a robust loss function, which weights the given labels against the inferred labels from the learned noise pattern. The weight is adjusted based on model uncertainty across training epochs. We evaluate TrustNet on synthetic label noise for CIFAR-10 and CIFAR-100, and real-world data with label noise, i.e., Clothing1M. We compare against state-of-the-art methods demonstrating the strong robustness of TrustNet under a diverse set of noise patterns.




Abstract:Noisy labeled data is more a norm than a rarity for self-generated content that is continuously published on the web and social media. Due to privacy concerns and governmental regulations, such a data stream can only be stored and used for learning purposes in a limited duration. To overcome the noise in this on-line scenario we propose QActor which novel combines: the selection of supposedly clean samples via quality models and actively querying an oracle for the most informative true labels. While the former can suffer from low data volumes of on-line scenarios, the latter is constrained by the availability and costs of human experts. QActor swiftly combines the merits of quality models for data filtering and oracle queries for cleaning the most informative data. The objective of QActor is to leverage the stringent oracle budget to robustly maximize the learning accuracy. QActor explores various strategies combining different query allocations and uncertainty measures. A central feature of QActor is to dynamically adjust the query limit according to the learning loss for each data batch. We extensively evaluate different image datasets fed into the classifier that can be standard machine learning (ML) models or deep neural networks (DNN) with noise label ratios ranging between 30% and 80%. Our results show that QActor can nearly match the optimal accuracy achieved using only clean data at the cost of at most an additional 6% of ground truth data from the oracle.




Abstract:Offline Signature Verification (OSV) remains a challenging pattern recognition task, especially in the presence of skilled forgeries that are not available during the training. This challenge is aggravated when there are small labeled training data available but with large intra-personal variations. In this study, we address this issue by employing an active learning approach, which selects the most informative instances to label and therefore reduces the human labeling effort significantly. Our proposed OSV includes three steps: feature learning, active learning, and final verification. We benefit from transfer learning using a pre-trained CNN for feature learning. We also propose SVM-based active learning for each user to separate his genuine signatures from the random forgeries. We finally used the SVMs to verify the authenticity of the questioned signature. We examined our proposed active transfer learning method on UTSig: A Persian offline signature dataset. We achieved near 13% improvement compared to the random selection of instances. Our results also showed 1% improvement over the state-of-the-art method in which a fully supervised setting with five more labeled instances per user was used.