



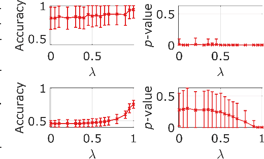
Abstract:Recently, many bias detection methods have been proposed to determine the level of bias a large language model captures. However, tests to identify which parts of a large language model are responsible for bias towards specific groups remain underdeveloped. In this study, we present a method using topological data analysis to identify which heads in GPT-2 contribute to the misrepresentation of identity groups present in the StereoSet dataset. We find that biases for particular categories, such as gender or profession, are concentrated in attention heads that act as hot spots. The metric we propose can also be used to determine which heads capture bias for a specific group within a bias category, and future work could extend this method to help de-bias large language models.
Abstract:The human brain is a complex system, and understanding its mechanisms has been a long-standing challenge in neuroscience. The study of the functional connectome, which maps the functional connections between different brain regions, has provided valuable insights through various advanced analysis techniques developed over the years. Similarly, neural networks, inspired by the brain's architecture, have achieved notable success in diverse applications but are often noted for their lack of interpretability. In this paper, we propose a novel approach that bridges neural networks and human brain functions by leveraging brain-inspired techniques. Our approach, grounded in the insights from the functional connectome, offers scalable ways to characterize topology of large neural networks using stable statistical and machine learning techniques. Our empirical analysis demonstrates its capability to enhance the interpretability of neural networks, providing a deeper understanding of their underlying mechanisms.




Abstract:Continual learning in neural networks suffers from a phenomenon called catastrophic forgetting, in which a network quickly forgets what was learned in a previous task. The human brain, however, is able to continually learn new tasks and accumulate knowledge throughout life. Neuroscience findings suggest that continual learning success in the human brain is potentially associated with its modular structure and memory consolidation mechanisms. In this paper we propose a novel topological regularization that penalizes cycle structure in a neural network during training using principled theory from persistent homology and optimal transport. The penalty encourages the network to learn modular structure during training. The penalization is based on the closed-form expressions of the Wasserstein distance and barycenter for the topological features of a 1-skeleton representation for the network. Our topological continual learning method combines the proposed regularization with a tiny episodic memory to mitigate forgetting. We demonstrate that our method is effective in both shallow and deep network architectures for multiple image classification datasets.




Abstract:Classification of large and dense networks based on topology is very difficult due to the computational challenges of extracting meaningful topological features from real-world networks. In this paper we present a computationally tractable approach to topological classification of networks by using principled theory from persistent homology and optimal transport to define a novel vector representation for topological features. The proposed vector space is based on the Wasserstein distance between persistence barcodes. The 1-skeleton of the network graph is employed to obtain 1-dimensional persistence barcodes that represent connected components and cycles. These barcodes and the corresponding Wasserstein distance can be computed very efficiently. The effectiveness of the proposed vector space is demonstrated using support vector machines to classify simulated networks and measured functional brain networks.




Abstract:The topological patterns exhibited by many real-world networks motivate the development of topology-based methods for assessing the similarity of networks. However, extracting topological structure is difficult, especially for large and dense networks whose node degrees range over multiple orders of magnitude. In this paper, we propose a novel and computationally practical topological clustering method that clusters complex networks with intricate topology using principled theory from persistent homology and optimal transport. Such networks are aggregated into clusters through a centroid-based clustering strategy based on both their topological and geometric structure, preserving correspondence between nodes in different networks. The notions of topological proximity and centroid are characterized using a novel and efficient approach to computation of the Wasserstein distance and barycenter for persistence barcodes associated with connected components and cycles. The proposed method is demonstrated to be effective using both simulated networks and measured functional brain networks.