



Abstract:What are the mechanisms by which groups with certain opinions gain public voice and force others holding a different view into silence? And how does social media play into this? Drawing on recent neuro-scientific insights into the processing of social feedback, we develop a theoretical model that allows to address these questions. The model captures phenomena described by spiral of silence theory of public opinion, provides a mechanism-based foundation for it, and allows in this way more general insight into how different group structures relate to different regimes of collective opinion expression. Even strong majorities can be forced into silence if a minority acts as a cohesive whole. The proposed framework of social feedback theory (SFT) highlights the need for sociological theorising to understand the societal-level implications of findings in social and cognitive neuroscience.




Abstract:News website comment sections are spaces where potentially conflicting opinions and beliefs are voiced. Addressing questions of how to study such cultural and societal conflicts through technological means, the present article critically examines possibilities and limitations of machine-guided exploration and potential facilitation of on-line opinion dynamics. These investigations are guided by a discussion of an experimental observatory for mining and analyzing opinions from climate change-related user comments on news articles from the TheGuardian.com. This observatory combines causal mapping methods with computational text analysis in order to mine beliefs and visualize opinion landscapes based on expressions of causation. By (1) introducing digital methods and open infrastructures for data exploration and analysis and (2) engaging in debates about the implications of such methods and infrastructures, notably in terms of the leap from opinion observation to debate facilitation, the article aims to make a practical and theoretical contribution to the study of opinion dynamics and conflict in new media environments.




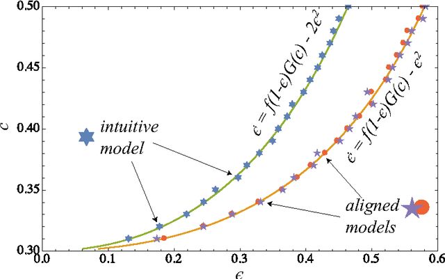
Abstract:We explore a new mechanism to explain polarization phenomena in opinion dynamics in which agents evaluate alternative views on the basis of the social feedback obtained on expressing them. High support of the favored opinion in the social environment, is treated as a positive feedback which reinforces the value associated to this opinion. In connected networks of sufficiently high modularity, different groups of agents can form strong convictions of competing opinions. Linking the social feedback process to standard equilibrium concepts we analytically characterize sufficient conditions for the stability of bi-polarization. While previous models have emphasized the polarization effects of deliberative argument-based communication, our model highlights an affective experience-based route to polarization, without assumptions about negative influence or bounded confidence.




Abstract:In this paper, we develop an agent-based version of the Diamond search equilibrium model - also called Coconut Model. In this model, agents are faced with production decisions that have to be evaluated based on their expectations about the future utility of the produced entity which in turn depends on the global production level via a trading mechanism. While the original dynamical systems formulation assumes an infinite number of homogeneously adapting agents obeying strong rationality conditions, the agent-based setting allows to discuss the effects of heterogeneous and adaptive expectations and enables the analysis of non-equilibrium trajectories. Starting from a baseline implementation that matches the asymptotic behavior of the original model, we show how agent heterogeneity can be accounted for in the aggregate dynamical equations. We then show that when agents adapt their strategies by a simple temporal difference learning scheme, the system converges to one of the fixed points of the original system. Systematic simulations reveal that this is the only stable equilibrium solution.