Abstract:Existing out-of-distribution (OOD) detectors are often tuned by a separate dataset deemed OOD with respect to the training distribution of a neural network (NN). OOD detectors process the activations of NN layers and score the output, where parameters of the detectors are determined by fitting to an in-distribution (training) set and the aforementioned dataset chosen adhocly. At detector training time, this adhoc dataset may not be available or difficult to obtain, and even when it's available, it may not be representative of actual OOD data, which is often ''unknown unknowns." Current benchmarks may specify some left-out set from test OOD sets. We show that there can be significant variance in performance of detectors based on the adhoc dataset chosen in current literature, and thus even if such a dataset can be collected, the performance of the detector may be highly dependent on the choice. In this paper, we introduce and formalize the often neglected problem of tuning OOD detectors without a given ``OOD'' dataset. To this end, we present strong baselines as an attempt to approach this problem. Furthermore, we propose a new generic approach to OOD detector tuning that does not require any extra data other than those used to train the NN. We show that our approach improves over baseline methods consistently across higher-parameter OOD detector families, while being comparable across lower-parameter families.
Abstract:We present a theory for the construction of out-of-distribution (OOD) detection features for neural networks. We introduce random features for OOD through a novel information-theoretic loss functional consisting of two terms, the first based on the KL divergence separates resulting in-distribution (ID) and OOD feature distributions and the second term is the Information Bottleneck, which favors compressed features that retain the OOD information. We formulate a variational procedure to optimize the loss and obtain OOD features. Based on assumptions on OOD distributions, one can recover properties of existing OOD features, i.e., shaping functions. Furthermore, we show that our theory can predict a new shaping function that out-performs existing ones on OOD benchmarks. Our theory provides a general framework for constructing a variety of new features with clear explainability.




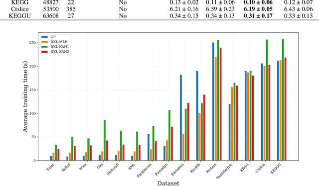
Abstract:The need for scalable and expressive models in machine learning is paramount, particularly in applications requiring both structural depth and flexibility. Traditional deep learning methods, such as multilayer perceptrons (MLP), offer depth but lack ability to integrate structural characteristics of deep learning architectures with non-parametric flexibility of kernel methods. To address this, deep kernel learning (DKL) was introduced, where inputs to a base kernel are transformed using a deep learning architecture. These kernels can replace standard kernels, allowing both expressive power and scalability. The advent of Kolmogorov-Arnold Networks (KAN) has generated considerable attention and discussion among researchers in scientific domain. In this paper, we introduce a scalable deep kernel using KAN (DKL-KAN) as an effective alternative to DKL using MLP (DKL-MLP). Our approach involves simultaneously optimizing these kernel attributes using marginal likelihood within a Gaussian process framework. We analyze two variants of DKL-KAN for a fair comparison with DKL-MLP: one with same number of neurons and layers as DKL-MLP, and another with approximately same number of trainable parameters. To handle large datasets, we use kernel interpolation for scalable structured Gaussian processes (KISS-GP) for low-dimensional inputs and KISS-GP with product kernels for high-dimensional inputs. The efficacy of DKL-KAN is evaluated in terms of computational training time and test prediction accuracy across a wide range of applications. Additionally, the effectiveness of DKL-KAN is also examined in modeling discontinuities and accurately estimating prediction uncertainty. The results indicate that DKL-KAN outperforms DKL-MLP on datasets with a low number of observations. Conversely, DKL-MLP exhibits better scalability and higher test prediction accuracy on datasets with large number of observations.




Abstract:We propose a simple, efficient, and accurate method for detecting out-of-distribution (OOD) data for trained neural networks, a potential first step in methods for OOD generalization. We propose a novel descriptor, HAct - activation histograms, for OOD detection, that is, probability distributions (approximated by histograms) of output values of neural network layers under the influence of incoming data. We demonstrate that HAct is significantly more accurate than state-of-the-art on multiple OOD image classification benchmarks. For instance, our approach achieves a true positive rate (TPR) of 95% with only 0.05% false-positives using Resnet-50 on standard OOD benchmarks, outperforming previous state-of-the-art by 20.66% in the false positive rate (at the same TPR of 95%). The low computational complexity and the ease of implementation make HAct suitable for online implementation in monitoring deployed neural networks in practice at scale.




Abstract:Deep-learning models for traffic data prediction can have superior performance in modeling complex functions using a multi-layer architecture. However, a major drawback of these approaches is that most of these approaches do not offer forecasts with uncertainty estimates, which are essential for traffic operations and control. Without uncertainty estimates, it is difficult to place any level of trust to the model predictions, and operational strategies relying on overconfident predictions can lead to worsening traffic conditions. In this study, we propose a Bayesian recurrent neural network framework for uncertainty quantification in traffic prediction with higher generalizability by introducing spectral normalization to its hidden layers. In our paper, we have shown that normalization alters the training process of deep neural networks by controlling the model's complexity and reducing the risk of overfitting to the training data. This, in turn, helps improve the generalization performance of the model on out-of-distribution datasets. Results demonstrate that spectral normalization improves uncertainty estimates and significantly outperforms both the layer normalization and model without normalization in single-step prediction horizons. This improved performance can be attributed to the ability of spectral normalization to better localize the feature space of the data under perturbations. Our findings are especially relevant to traffic management applications, where predicting traffic conditions across multiple locations is the goal, but the availability of training data from multiple locations is limited. Spectral normalization, therefore, provides a more generalizable approach that can effectively capture the underlying patterns in traffic data without requiring location-specific models.