



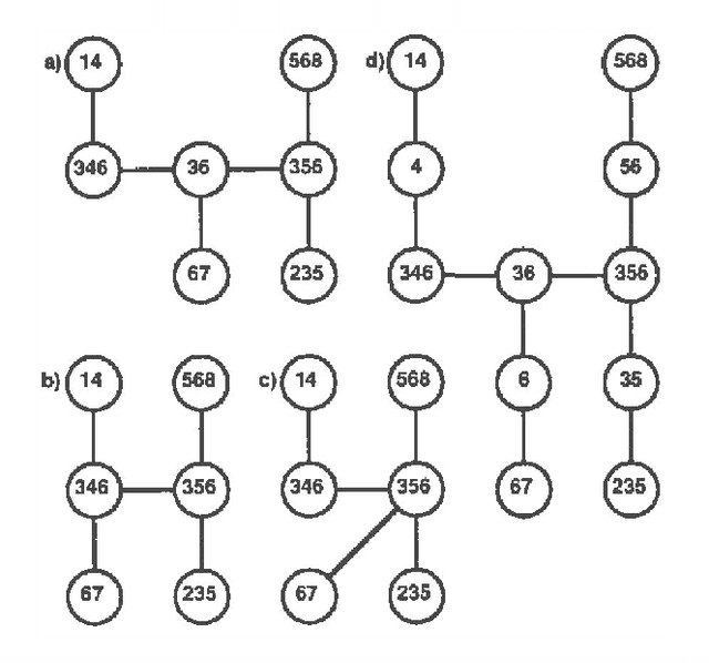
Abstract:In recent years, there have been intense research efforts to develop efficient methods for probabilistic inference in probabilistic influence diagrams or belief networks. Many people have concluded that the best methods are those based on undirected graph structures, and that those methods are inherently superior to those based on node reduction operations on the influence diagram. We show here that these two approaches are essentially the same, since they are explicitly or implicity building and operating on the same underlying graphical structures. In this paper we examine those graphical structures and show how this insight can lead to an improved class of directed reduction methods.





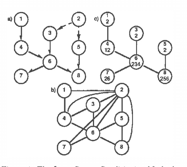
Abstract:In this paper we propose a new approach to probabilistic inference on belief networks, global conditioning, which is a simple generalization of Pearl's (1986b) method of loopcutset conditioning. We show that global conditioning, as well as loop-cutset conditioning, can be thought of as a special case of the method of Lauritzen and Spiegelhalter (1988) as refined by Jensen et al (199Oa; 1990b). Nonetheless, this approach provides new opportunities for parallel processing and, in the case of sequential processing, a tradeoff of time for memory. We also show how a hybrid method (Suermondt and others 1990) combining loop-cutset conditioning with Jensen's method can be viewed within our framework. By exploring the relationships between these methods, we develop a unifying framework in which the advantages of each approach can be combined successfully.
