



Abstract:Hidden Markov models (HMMs) have been successfully applied to automatic speech recognition for more than 35 years in spite of the fact that a key HMM assumption -- the statistical independence of frames -- is obviously violated by speech data. In fact, this data/model mismatch has inspired many attempts to modify or replace HMMs with alternative models that are better able to take into account the statistical dependence of frames. However it is fair to say that in 2010 the HMM is the consensus model of choice for speech recognition and that HMMs are at the heart of both commercially available products and contemporary research systems. In this paper we present a preliminary exploration aimed at understanding how speech data depart from HMMs and what effect this departure has on the accuracy of HMM-based speech recognition. Our analysis uses standard diagnostic tools from the field of statistics -- hypothesis testing, simulation and resampling -- which are rarely used in the field of speech recognition. Our main result, obtained by novel manipulations of real and resampled data, demonstrates that real data have statistical dependency and that this dependency is responsible for significant numbers of recognition errors. We also demonstrate, using simulation and resampling, that if we `remove' the statistical dependency from data, then the resulting recognition error rates become negligible. Taken together, these results suggest that a better understanding of the structure of the statistical dependency in speech data is a crucial first step towards improving HMM-based speech recognition.




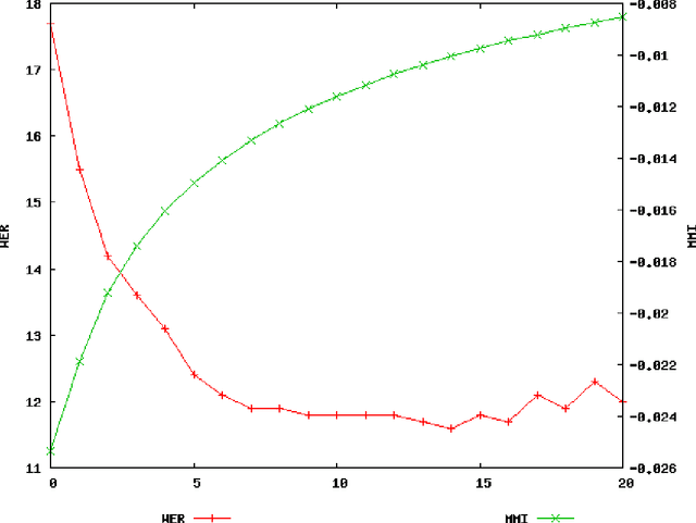
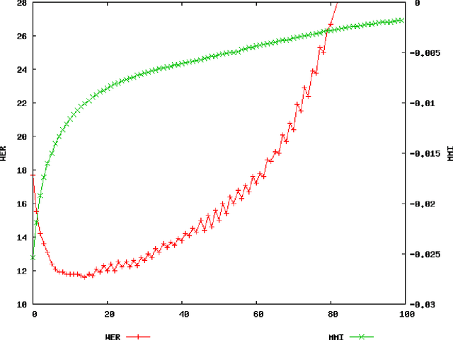
Abstract:Maximum mutual information (MMI) is a model selection criterion used for hidden Markov model (HMM) parameter estimation that was developed more than twenty years ago as a discriminative alternative to the maximum likelihood criterion for HMM-based speech recognition. It has been shown in the speech recognition literature that parameter estimation using the current MMI paradigm, lattice-based MMI, consistently outperforms maximum likelihood estimation, but this is at the expense of undesirable convergence properties. In particular, recognition performance is sensitive to the number of times that the iterative MMI estimation algorithm, extended Baum-Welch, is performed. In fact, too many iterations of extended Baum-Welch will lead to degraded performance, despite the fact that the MMI criterion improves at each iteration. This phenomenon is at variance with the analogous behavior of maximum likelihood estimation -- at least for the HMMs used in speech recognition -- and it has previously been attributed to `over fitting'. In this paper, we present an analysis of lattice-based MMI that demonstrates, first of all, that the asymptotic behavior of lattice-based MMI is much worse than was previously understood, i.e. it does not appear to converge at all, and, second of all, that this is not due to `over fitting'. Instead, we demonstrate that the `over fitting' phenomenon is the result of standard methodology that exacerbates the poor behavior of two key approximations in the lattice-based MMI machinery. We also demonstrate that if we modify the standard methodology to improve the validity of these approximations, then the convergence properties of lattice-based MMI become benign without sacrificing improvements to recognition accuracy.