

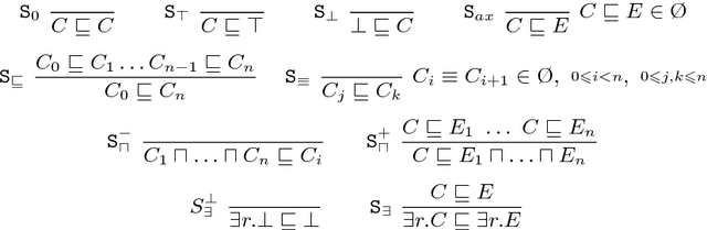
Abstract:We introduce an extension to the Protege ontology editor, which allows for discovering concept definitions, which are not explicitly present in axioms, but are logically implied by an ontology. The plugin supports ontologies formulated in the Description Logic EL, which underpins the OWL 2 EL profile of the Web Ontology Language and despite its limited expressiveness captures most of the biomedical ontologies published on the Web. The developed tool allows to verify whether a concept can be defined using a vocabulary of interest specified by a user. In particular, it allows to decide whether some vocabulary items can be omitted in a formulation of a complex concept. The corresponding definitions are presented to the user and are provided with explanations generated by an ontology reasoner.