Abstract:Online Social Networks have embarked on the importance of connection strength measures which has a broad array of applications such as, analyzing diffusion behaviors, community detection, link predictions, recommender systems. Though there are some existing connection strength measures, the density that a connection shares with it's neighbors and the directionality aspect has not received much attention. In this paper, we have proposed an asymmetric edge similarity measure namely, Neighborhood Density-based Edge Similarity (NDES) which provides a fundamental support to derive the strength of connection. The time complexity of NDES is $O(nk^2)$. An application of NDES for community detection in social network is shown. We have considered a similarity based community detection technique and substituted its similarity measure with NDES. The performance of NDES is evaluated on several small real-world datasets in terms of the effectiveness in detecting communities and compared with three widely used similarity measures. Empirical results show NDES enables detecting comparatively better communities both in terms of accuracy and quality.
Abstract:Nature-inspired optimization Algorithms (NIOAs) are nowadays a popular choice for community detection in social networks. Community detection problem in social network is treated as optimization problem, where the objective is to either maximize the connection within the community or minimize connections between the communities. To apply NIOAs, either of the two, or both objectives are explored. Since NIOAs mostly exploit randomness in their strategies, it is necessary to analyze their performance for specific applications. In this paper, NIOAs are analyzed on the community detection problem. A direct comparison approach is followed to perform pairwise comparison of NIOAs. The performance is measured in terms of five scores designed based on prasatul matrix and also with average isolability. Three widely used real-world social networks and four NIOAs are considered for analyzing the quality of communities generated by NIOAs.




Abstract:Information diffusion in Online Social Networks is a new and crucial problem in social network analysis field and requires significant research attention. Efficient diffusion of information are of critical importance in diverse situations such as; pandemic prevention, advertising, marketing etc. Although several mathematical models have been developed till date, but previous works lacked systematic analysis and exploration of the influence of neighborhood for information diffusion. In this paper, we have proposed Common Neighborhood Strategy (CNS) algorithm for information diffusion that demonstrates the role of common neighborhood in information propagation throughout the network. The performance of CNS algorithm is evaluated on several real-world datasets in terms of diffusion speed and diffusion outspread and compared with several widely used information diffusion models. Empirical results show CNS algorithm enables better information diffusion both in terms of diffusion speed and diffusion outspread.




Abstract:Community detection in Social Networks is associated with finding and grouping the most similar nodes inherent in the network. These similar nodes are identified by computing tie strength. Stronger ties indicates higher proximity shared by connected node pairs. This work is motivated by Granovetter's argument that suggests that strong ties lies within densely connected nodes and the theory that community cores in real-world networks are densely connected. In this paper, we have introduced a novel method called \emph{Disjoint Community detection using Cascades (DCC)} which demonstrates the effectiveness of a new local density based tie strength measure on detecting communities. Here, tie strength is utilized to decide the paths followed for propagating information. The idea is to crawl through the tuple information of cascades towards the community core guided by increasing tie strength. Considering the cascade generation step, a novel preferential membership method has been developed to assign community labels to unassigned nodes. The efficacy of $DCC$ has been analyzed based on quality and accuracy on several real-world datasets and baseline community detection algorithms.




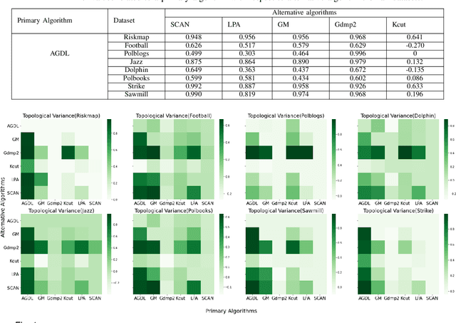
Abstract:Community detection algorithms are in general evaluated by comparing evaluation metric values for the communities obtained with different algorithms. The evaluation metrics that are used for measuring quality of the communities incorporate the topological information of entities like connectivity of the nodes within or outside the communities. However, while comparing the metric values it loses direct involvement of topological information of the communities in the comparison process. In this paper, a direct comparison approach is proposed where topological information of the communities obtained with two algorithms are compared directly. A quality measure namely \emph{Topological Variance (TV)} is designed based on direct comparison of topological information of the communities. Considering the newly designed quality measure, two ranking schemes are developed. The efficacy of proposed quality metric as well as the ranking scheme is studied with eight widely used real-world datasets and six community detection algorithms.