Abstract:Current labor markets are strongly affected by the economic forces of adverse selection, moral hazard, and reputation, each of which arises due to $\textit{incomplete information}$. These economic forces will still be influential after AI agents are introduced, and thus, agents must use metacognitive and strategic reasoning to perform effectively. Metacognition is a form of $\textit{internal reasoning}$ that includes the capabilities for self-assessment, task understanding, and evaluation of strategies. Strategic reasoning is $\textit{external reasoning}$ that covers holding beliefs about other participants in the labor market (e.g., competitors, colleagues), making strategic decisions, and learning about others over time. Both types of reasoning are required by agents as they decide among the many $\textit{actions}$ they can take in labor markets, both within and outside their jobs. We discuss current research into metacognitive and strategic reasoning and the areas requiring further development.




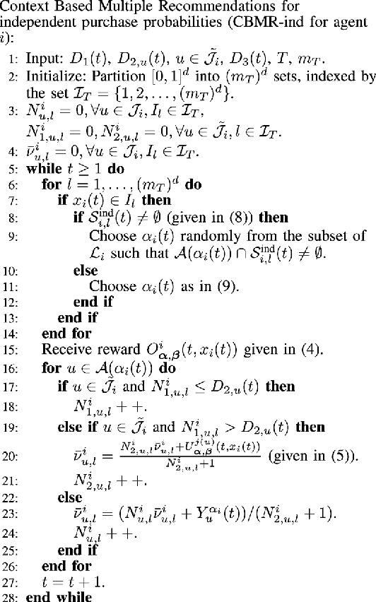
Abstract:In this paper, we consider decentralized sequential decision making in distributed online recommender systems, where items are recommended to users based on their search query as well as their specific background including history of bought items, gender and age, all of which comprise the context information of the user. In contrast to centralized recommender systems, in which there is a single centralized seller who has access to the complete inventory of items as well as the complete record of sales and user information, in decentralized recommender systems each seller/learner only has access to the inventory of items and user information for its own products and not the products and user information of other sellers, but can get commission if it sells an item of another seller. Therefore the sellers must distributedly find out for an incoming user which items to recommend (from the set of own items or items of another seller), in order to maximize the revenue from own sales and commissions. We formulate this problem as a cooperative contextual bandit problem, analytically bound the performance of the sellers compared to the best recommendation strategy given the complete realization of user arrivals and the inventory of items, as well as the context-dependent purchase probabilities of each item, and verify our results via numerical examples on a distributed data set adapted based on Amazon data. We evaluate the dependence of the performance of a seller on the inventory of items the seller has, the number of connections it has with the other sellers, and the commissions which the seller gets by selling items of other sellers to its users.