Abstract:Reinforcement learning (RL) has gained traction for its success in solving complex tasks for robotic applications. However, its deployment on physical robots remains challenging due to safety risks and the comparatively high costs of training. To avoid these problems, RL agents are often trained on simulators, which introduces a new problem related to the gap between simulation and reality. This paper presents an RL pipeline designed to help reduce the reality gap and facilitate developing and deploying RL policies for real-world robotic systems. The pipeline organizes the RL training process into an initial step for system identification and three training stages: core simulation training, high-fidelity simulation, and real-world deployment, each adding levels of realism to reduce the sim-to-real gap. Each training stage takes an input policy, improves it, and either passes the improved policy to the next stage or loops it back for further improvement. This iterative process continues until the policy achieves the desired performance. The pipeline's effectiveness is shown through a case study with the Boston Dynamics Spot mobile robot used in a surveillance application. The case study presents the steps taken at each pipeline stage to obtain an RL agent to control the robot's position and orientation.




Abstract:Visual Simultaneous Localization and Mapping (VSLAM) is a fundamental technology for robotics applications. While VSLAM research has achieved significant advancements, its robustness under challenging situations, such as poor lighting, dynamic environments, motion blur, and sensor failures, remains a challenging issue. To address these challenges, we introduce a novel RGB-D dataset designed for evaluating the robustness of VSLAM systems. The dataset comprises real-world indoor scenes with dynamic objects, motion blur, and varying illumination, as well as emulated camera failures, including lens dirt, condensation, underexposure, and overexposure. Additionally, we offer open-source scripts for injecting camera failures into any images, enabling further customization by the research community. Our experiments demonstrate that ORB-SLAM2, a traditional VSLAM algorithm, and TartanVO, a Deep Learning-based VO algorithm, can experience performance degradation under these challenging conditions. Therefore, this dataset and the camera failure open-source tools provide a valuable resource for developing more robust VSLAM systems capable of handling real-world challenges.

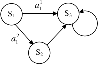
Abstract:We extend the potential-based shaping method from Markov decision processes to multi-player general-sum stochastic games. We prove that the Nash equilibria in a stochastic game remains unchanged after potential-based shaping is applied to the environment. The property of policy invariance provides a possible way of speeding convergence when learning to play a stochastic game.