Abstract:The goal of Causal Discovery is to find automated search methods for learning causal structures from observational data. In some cases all variables of the interested causal mechanism are measured, and the task is to predict the effects one measured variable has on another. In contrast, sometimes the variables of primary interest are not directly observable but instead inferred from their manifestations in the data. These are referred to as latent variables. One commonly known example is the psychological construct of intelligence, which cannot directly measured so researchers try to assess through various indicators such as IQ tests. In this case, casual discovery algorithms can uncover underlying patterns and structures to reveal the causal connections between the latent variables and between the latent and observed variables. This thesis focuses on two questions in causal discovery: providing an alternative definition of k-Triangle Faithfulness that (i) is weaker than strong faithfulness when applied to the Gaussian family of distributions, (ii) can be applied to non-Gaussian families of distributions, and (iii) under the assumption that the modified version of Strong Faithfulness holds, can be used to show the uniform consistency of a modified causal discovery algorithm; relaxing the sufficiency assumption to learn causal structures with latent variables. Given the importance of inferring cause-and-effect relationships for understanding and forecasting complex systems, the work in this thesis of relaxing various simplification assumptions is expected to extend the causal discovery method to be applicable in a wider range with diversified causal mechanism and statistical phenomena.
Abstract:Kalisch and B\"{u}hlmann (2007) showed that for linear Gaussian models, under the Causal Markov Assumption, the Strong Causal Faithfulness Assumption, and the assumption of causal sufficiency, the PC algorithm is a uniformly consistent estimator of the Markov Equivalence Class of the true causal DAG for linear Gaussian models; it follows from this that for the identifiable causal effects in the Markov Equivalence Class, there are uniformly consistent estimators of causal effects as well. The $k$-Triangle-Faithfulness Assumption is a strictly weaker assumption that avoids some implausible implications of the Strong Causal Faithfulness Assumption and also allows for uniformly consistent estimates of Markov Equivalence Classes (in a weakened sense), and of identifiable causal effects. However, both of these assumptions are restricted to linear Gaussian models. We propose the Generalized $k$-Triangle Faithfulness, which can be applied to any smooth distribution. In addition, under the Generalized $k$-Triangle Faithfulness Assumption, we describe the Edge Estimation Algorithm that provides uniformly consistent estimates of causal effects in some cases (and otherwise outputs "can't tell"), and the \textit{Very Conservative }$SGS$ Algorithm that (in a slightly weaker sense) is a uniformly consistent estimator of the Markov equivalence class of the true DAG.




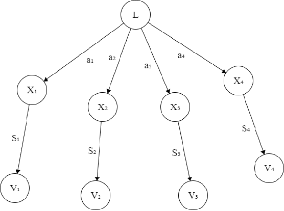
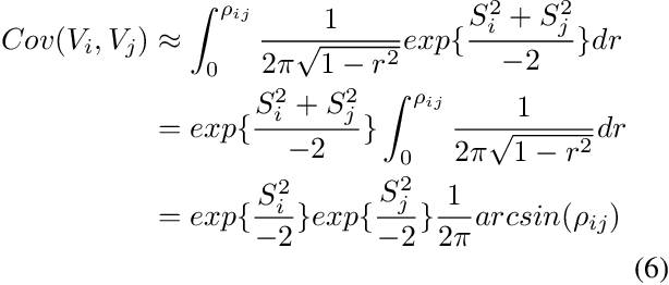
Abstract:The tetrad constraint is a condition of which the satisfaction signals a rank reduction of a covariance submatrix and is used to design causal discovery algorithms that detects the existence of latent (unmeasured) variables, such as FOFC. Initially such algorithms only work for cases where the measured and latent variables are all Gaussian and have linear relations (Gaussian-Gaussian Case). It has been shown that a unidimentional latent variable model implies tetrad constraints when the measured and latent variables are all binary (Binary-Binary case). This paper proves that the tetrad constraint can also be entailed when the measured variables are of mixed data types and when the measured variables are discrete and the latent common causes are continuous, which implies that any clustering algorithm relying on this constraint can work on those cases. Each case is shown with an example and a proof. The performance of FOFC on mixed data is shown by simulation studies and is compared with some algorithms with similar functions.




Abstract:In many scientific contexts, different investigators experiment with or observe different variables with data from a domain in which the distinct variable sets might well be related. This sort of fragmentation sometimes occurs in molecular biology, whether in studies of RNA expression or studies of protein interaction, and it is common in the social sciences. Models are built on the diverse data sets, but combining them can provide a more unified account of the causal processes in the domain. On the other hand, this problem is made challenging by the fact that a variable in one data set may influence variables in another although neither data set contains all of the variables involved. Several authors have proposed using conditional independence properties of fragmentary (marginal) data collections to form unified causal explanations when it is assumed that the data have a common causal explanation but cannot be merged to form a unified dataset. These methods typically return a large number of alternative causal models. The first part of the thesis shows that marginal datasets contain extra information that can be used to reduce the number of possible models, in some cases yielding a unique model.