



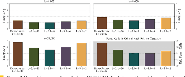
Abstract:We describe a parallel approximation algorithm for maximizing monotone submodular functions subject to hereditary constraints on distributed memory multiprocessors. Our work is motivated by the need to solve submodular optimization problems on massive data sets, for practical applications in areas such as data summarization, machine learning, and graph sparsification. Our work builds on the randomized distributed RandGreedI algorithm, proposed by Barbosa, Ene, Nguyen, and Ward (2015). This algorithm computes a distributed solution by randomly partitioning the data among all the processors and then employing a single accumulation step in which all processors send their partial solutions to one processor. However, for large problems, the accumulation step could exceed the memory available on a processor, and the processor which performs the accumulation could become a computational bottleneck. Here, we propose a generalization of the RandGreedI algorithm that employs multiple accumulation steps to reduce the memory required. We analyze the approximation ratio and the time complexity of the algorithm (in the BSP model). We also evaluate the new GreedyML algorithm on three classes of problems, and report results from massive data sets with millions of elements. The results show that the GreedyML algorithm can solve problems where the sequential Greedy and distributed RandGreedI algorithms fail due to memory constraints. For certain computationally intensive problems, the GreedyML algorithm can be faster than the RandGreedI algorithm. The observed approximation quality of the solutions computed by the GreedyML algorithm closely matches those obtained by the RandGreedI algorithm on these problems.