



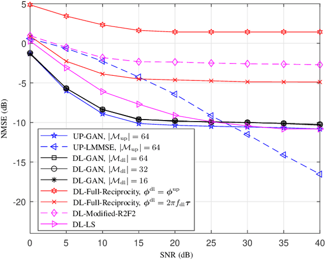
Abstract:It is well accepted that acquiring downlink channel state information in frequency division duplexing (FDD) massive multiple-input multiple-output (MIMO) systems is challenging because of the large overhead in training and feedback. In this paper, we propose a deep generative model (DGM)-based technique to address this challenge. Exploiting the partial reciprocity of uplink and downlink channels, we first estimate the frequency-independent underlying channel parameters, i.e., the magnitudes of path gains, delays, angles-of-arrivals (AoAs) and angles-of-departures (AoDs), via uplink training, since these parameters are common in both uplink and downlink. Then, the frequency-specific underlying channel parameters, namely, the phase of each propagation path, are estimated via downlink training using a very short training signal. In the first step, we incorporate the underlying distribution of the channel parameters as a prior into our channel estimation algorithm. We use DGMs to learn this distribution. Simulation results indicate that our proposed DGM-based channel estimation technique outperforms, by a large gap, the conventional channel estimation techniques in practical ranges of signal-to-noise ratio (SNR). In addition, a near-optimal performance is achieved using only few downlink pilot measurements.




Abstract:In this paper, we study the channel estimation problem in correlated massive multiple-input-multiple-output (MIMO) systems with a reduced number of radio-frequency (RF) chains. Importantly, other than the knowledge of channel correlation matrices, we make no assumption as to the structure of the channel. To address the limitation in the number of RF chains, we employ hybrid beamforming, comprising a low dimensional digital beamformer followed by an analog beamformer implemented using phase shifters. Since there is no dedicated RF chain per transmitter/receiver antenna, the conventional channel estimation techniques for fully-digital systems are impractical. By exploiting the fact that the channel entries are uncorrelated in its eigen-domain, we seek to estimate the channel entries in this domain. Due to the limited number of RF chains, channel estimation is typically performed in multiple time slots. Under a total energy budget, we aim to design the hybrid transmit beamformer (precoder) and the receive beamformer (combiner) in each training time slot, in order to estimate the channel using the minimum mean squared error criterion. To this end, we choose the precoder and combiner in each time slot such that they are aligned to transmitter and receiver eigen-directions, respectively. Further, we derive a water-filling-type expression for the optimal energy allocation at each time slot. This expression illustrates that, with a low training energy budget, only significant components of the channel need to be estimated. In contrast, with a large training energy budget, the energy is almost equally distributed among all eigen-directions. Simulation results show that the proposed channel estimation scheme can efficiently estimate correlated massive MIMO channels within a few training time slots.