



Abstract:One of the most employed yet simple algorithm for cluster analysis is the k-means algorithm. k-means has successfully witnessed its use in artificial intelligence, market segmentation, fraud detection, data mining, psychology, etc., only to name a few. The k-means algorithm, however, does not always yield the best quality results. Its performance heavily depends upon the number of clusters supplied and the proper initialization of the cluster centroids or seeds. In this paper, we conduct an analysis of the performance of k-means on image data by employing parametric entropies in an entropy based centroid initialization method and propose the best fitting entropy measures for general image datasets. We use several entropies like Taneja entropy, Kapur entropy, Aczel Daroczy entropy, Sharma Mittal entropy. We observe that for different datasets, different entropies provide better results than the conventional methods. We have applied our proposed algorithm on these datasets: Satellite, Toys, Fruits, Cars, Brain MRI, Covid X-Ray.
Abstract:In this paper, we address the problem of distributed power allocation in a $K$ user fading multiple access wiretap channel, where global channel state information is limited, i.e., each user has knowledge of their own channel state with respect to Bob and Eve but only knows the distribution of other users' channel states. We model this problem as a Bayesian game, where each user is assumed to selfishly maximize his average \emph{secrecy capacity} with partial channel state information. In this work, we first prove that there is a unique Bayesian equilibrium in the proposed game. Additionally, the price of anarchy is calculated to measure the efficiency of the equilibrium solution. We also propose a fast convergent iterative algorithm for power allocation. Finally, the results are validated using simulation results.




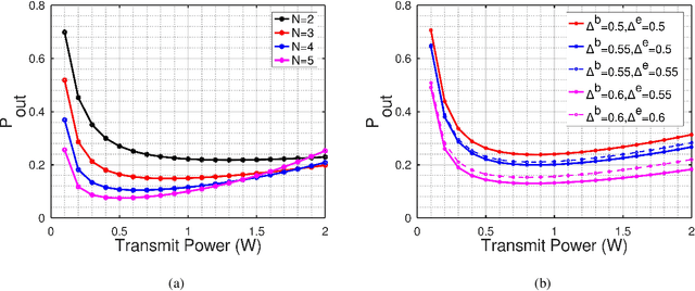
Abstract:In this paper, we study the performance of an energy efficient wireless communication system, assisted by a finite-element-intelligent reflecting surface (IRS). With no instantaneous channel state information (CSI) at the transmitter, we characterize the system performance in terms of the outage probability (OP) of energy efficiency (EE). Depending upon the availability of line-of-sight (LOS) paths, we analyze the system for two different channel models, viz. Rician and Rayleigh. For an arbitrary number of IRS elements $(N)$, we derive the approximate closed-form solutions for the OP of EE, using Laguerre series and moment matching methods. The analytical results are validated using the Monte-Carlo simulations. Moreover, we also quantify the rate of convergence of the derived expressions to the central limit theorem (CLT) approximations using the \textit{Berry-Esseen} inequality. Further, we prove that the OP of EE is a strict pseudo-convex function of the transmit power and hence, has a unique global minimum. To obtain the optimal transmit power, we solve the OP of EE as a constrained optimization problem. To the best of our knowledge, the OP of EE as a performance metric, has never been previously studied in IRS-assisted wireless communication systems.


Abstract:In this paper we study secure energy efficiency (SEE) for simultaneous wireless information and power transfer (SWIPT) in a distributed antenna system (DAS) based IoT network. We consider a system in which both legitimate users (Bobs) and eavesdroppers (Eves) have power splitting (PS) receivers to simultaneously decode information and harvest energy from the received signal. When the channel state information (CSI) is known at the transmitter, we analyze the effect of an energy harvesting eavesdropper (EHE) over the maximization of SEE of the system. Next, considering the fact that perfect CSI is hard to achieve in practice, we characterize the system performance in terms of the outage probability of SEE. For the given SWIPT-in-DAS setup, we derive the closed form expression for the outage probability of SEE and with the help of numerical results, we study the effect of transmit power levels, number of distributed antenna (DA) ports and the PS ratio of devices. To the best of our knowledge, this is the first attempt to define the outage probability of SEE for SWIPT-in-DAS.