Abstract:The pursuit of truth is central to democratic deliberation and governance, yet political discourse reflects varying epistemic orientations, ranging from evidence-based reasoning grounded in verifiable information to intuition-based reasoning rooted in beliefs and subjective interpretation. We introduce a scalable approach to measure epistemic orientation using the Evidence--Minus--Intuition (EMI) score, derived from large language model (LLM) ratings and embedding-based semantic similarity. Applying this approach to 15 million parliamentary speech segments spanning 1946 to 2025 across seven countries, we examine temporal patterns in discourse and its association with deliberative democracy and governance. We find that EMI is positively associated with deliberative democracy within countries over time, with consistent relationships in both contemporaneous and lagged analyses. EMI is also positively associated with the transparency and predictable implementation of laws as a dimension of governance. These findings suggest that the epistemic nature of political discourse is crucial for both the quality of democracy and governance.




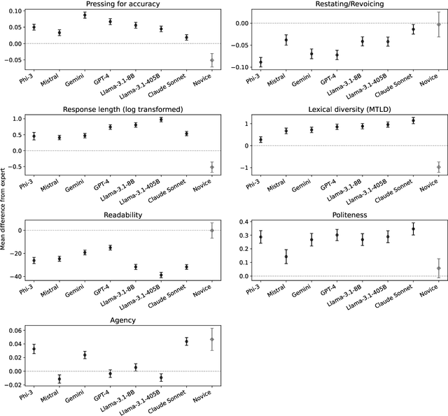
Abstract:Recent work has explored the use of large language models for generating tutoring responses in mathematics, yet it remains unclear how closely their instructional behavior aligns with expert human practice. We examine this question using a controlled, turn-level comparison in which expert human tutors, novice human tutors, and multiple large language models respond to the same set of math remediation conversation turns. We examine both instructional strategies and linguistic characteristics of tutoring responses, including restating and revoicing, pressing for accuracy, lexical diversity, readability, politeness, and agency. We find that large language models approach expert levels of perceived pedagogical quality on average but exhibit systematic differences in their instructional and linguistic profiles. In particular, large language models tend to underuse restating and revoicing strategies characteristic of expert human tutors, while producing longer, more lexically diverse, and more polite responses. Statistical analyses show that restating and revoicing, lexical diversity, and pressing for accuracy are positively associated with perceived pedagogical quality, whereas higher levels of agentic and polite language are negatively associated. Overall, recent large language models exhibit levels of perceived pedagogical quality comparable to expert human tutors, while relying on different instructional and linguistic strategies. These findings underscore the value of analyzing instructional strategies and linguistic characteristics when evaluating tutoring responses across human tutors and intelligent tutoring systems.




Abstract:The rapid advancements in large language models (LLMs) have significantly improved their ability to generate natural language, making texts generated by LLMs increasingly indistinguishable from human-written texts. Recent research has predominantly focused on using LLMs to classify text as either human-written or machine-generated. In our study, we adopt a different approach by profiling texts spanning four domains based on 250 distinct linguistic features. We select the M4 dataset from the Subtask B of SemEval 2024 Task 8. We automatically calculate various linguistic features with the LFTK tool and additionally measure the average syntactic depth, semantic similarity, and emotional content for each document. We then apply a two-dimensional PCA reduction to all the calculated features. Our analyses reveal significant differences between human-written texts and those generated by LLMs, particularly in the variability of these features, which we find to be considerably higher in human-written texts. This discrepancy is especially evident in text genres with less rigid linguistic style constraints. Our findings indicate that humans write texts that are less cognitively demanding, with higher semantic content, and richer emotional content compared to texts generated by LLMs. These insights underscore the need for incorporating meaningful linguistic features to enhance the understanding of textual outputs of LLMs.